Горячекатаный уголок гост: 93 — . (495) 638-07-16 . .
Содержание
ГОСТ 8509-93 (Уголки стальные горячекатаные равнополочные. Сортамент)
ГОСТ 10006-80 (Трубы металлические. Метод испытания на растяжение)ГОСТ 103-2006 (Прокат сортовой стальной горячекатаный полосовой)ГОСТ 103-76 (Полоса стальная горячекатаная)ГОСТ 10498-82 (Трубы бесшовные особотонкостенные из коррозионно-стойкой стали)ГОСТ 1050-88 (Прокат сортовой, калиброванный, со специальной отделкой поверхности из углеродистой качественной конструкционной стали)ГОСТ 1060-83 (Трубы стальные бесшовные холоднодеформированные для судостроения)ГОСТ 10702-78 (Прокат из качественной конструкционной углеродистой и легированной стали для холодного выдавливания и высадки)ГОСТ 10704-91 (Трубы стальные электросварные прямошовные)ГОСТ 10705-80 (Трубы стальные электросварные)ГОСТ 10706-76 (Трубы стальные электросварные прямошовные)ГОСТ 10707-80 (Трубы стальные электросварные холоднодеформированные)ГОСТ 10884-94 (Сталь арматурная термомеханически упрочненная для железобетонных конструкций)ГОСТ 10885-85 (Сталь листовая горячекатаная двухслойная коррозионно-стойкая)ГОСТ 11017-80 (Трубы стальные бесшовные высокого давления)ГОСТ 11068-81 (Трубы электросварные из коррозионно-стойкой стали)ГОСТ 11249-80 (Трубы стальные свертные паяные двухслойные)ГОСТ 11268-76 (Прокат тонколистовой специального назначения из конструкционной легированной высококачественной стали)ГОСТ 11269-76 (Прокат листовой и широкополосный универсальный специального назначения из конструкционной легированной высококачественной стали)ГОСТ 1133-71 (Сталь кованая круглая и квадратная)ГОСТ 11474-76 (Профили стальные гнутые)ГОСТ 11706-78 (Трубы.
Метод испытания на раздачу кольца конусом)ГОСТ 12004-81 (Сталь арматурная. Методы испытания на растяжение)ГОСТ 12132-66 (Трубы стальные электросварные и бесшовные для мотовелопромышленности)ГОСТ 12501-67 (Трубы. Метод испытания крутящим моментом)ГОСТ 13603-89 (Сетки проволочные крученые с шестиугольными ячейками)ГОСТ 13663-86 (Трубы стальные профильные)ГОСТ 1414-75 (Прокат из конструкционной стали высокой обрабатываемости резанием)ГОСТ 14162-79 (Трубки стальные малых размеров (капиллярные))ГОСТ 1435-99 (Прутки, полосы и мотки из инструментальной нелегированной стали)ГОСТ 14637-89 (Прокат толстолистовой из углеродистой стали обыкновенного качества)ГОСТ 14918-80 (Сталь тонколистовая оцинкованная с непрерывных линий)ГОСТ 14955-77 (Сталь качественная круглая со специальной отделкой поверхности)ГОСТ 14959-79 (Прокат из рессорно-пружинной углеродистой и легированной стали)ГОСТ 1577-93 (Прокат толстолистовой и широкополосный из конструкционной качественной сталиГОСТ 16523-97 (Прокат тонколистовой из углеродистой стали качественной и обыкновенного качества общего назначения)ГОСТ 17066-94 (Прокат тонколистовой из стали повышенной прочности)ГОСТ 17375-2001 (Детали трубопроводов бесшовные приварные из углеродистой и низколегированной стали.
Отводы крутозагнутые типа 3D (R~1.5DM)ГОСТ 17376-2001 (Детали трубопроводов бесшовные приварные из углеродистой и низколегированной стали. Тройники)ГОСТ 17378-2001 (Детали трубопроводов бесшовные приварные из углеродистой и низколегированной стали.Переходы)ГОСТ 17379-2001 (Детали трубопроводов бесшовные приварные из углеродистой и низколегированной стали. Заглушки эллиптические)ГОСТ 17380-2001 (Детали трубопроводов бесшовные приварные из углеродистой и низколегированной стали. Общие технические условия)ГОСТ 17410-78 (Контроль неразрушающий. Трубы металлические бесшовные цилиндрические)ГОСТ 18968-73 (Прутки и полосы из коррозионно-стойкой и жаропрочной стали для лопаток паровых турбин)ГОСТ 19040-81 (Трубы металлические. Метод испытания на растяжение при повышенных температурах)ГОСТ 19265-73 (Прутки и полосы из быстрорежущей стали)ГОСТ 19277-73 (Трубы стальные бесшовные для маслопроводов и топливопроводов)ГОСТ 19281-89 (Прокат из стали повышенной прочности)ГОСТ 19282-73 (Сталь низколегированная толстолистовая и широкополосная универсальная)ГОСТ 19425-74 (Балки двутавровые и швеллеры стальные специальные.
Сортамент)ГОСТ 19771-93 (Уголки стальные гнутые равнополочные. Сортамент)ГОСТ 19772-93 (Уголки стальные гнутые неравнополочные. Сортамент)ГОСТ 19903-74 (Прокат листовой горячекатаный. Сортамент)ГОСТ 19904-90 (Прокат листовой холоднокатаный. Сортамент)ГОСТ 20072-74 (Сталь теплоустойчивая)ГОСТ 20295-85 (Трубы стальные сварные для магистральных газонефтепроводов)ГОСТ 21729-76 (Трубы конструкционные холоднодеформированные и теплодеформированные из углеродистых и легированных сталей)ГОСТ 21945-76 (Трубы бесшовные горячекатаные из сплавов на основе титана)ГОСТ 22786-77 (Трубы биметаллические бесшовные для судостроения)ГОСТ 22897-86 (Трубы бесшовные холоднодеформированные из сплавов на основе титана)ГОСТ 23118-99 (Конструкции стальные строительные. Общие технические условия)ГОСТ 23270-89 (Трубы-заготовки для механической обработки)ГОСТ 23279-85 (Сетки арматурные сварные для железобетонных конструкций и изделий)ГОСТ 24030-80 (Трубы бесшовные из коррозионно-стойкой стали для энергомашиностроения)ГОСТ 24045-94 (Профили стальные листовые гнутые с трапецевидными гофрами для строительства)ГОСТ 24982-81 (Прокат листовой из коррозионно-стойких жаростойких и жаропрочных сплавов)ГОСТ 25054-81 (Поковки из коррозионно-стойких сталей и сплавов)ГОСТ 25577-83 (Профили стальные гнутые замкнутые сварные квадратные и прямоугольные)ГОСТ 2590-2006 (Прокат сортовой стальной горячекатаный круглый)ГОСТ 2591-06 (Прокат сортовой стальной горячекатаный квадратный)ГОСТ 26020-83 (Двутавры стальные горячекатаные с параллельными гранями полок)ГОСТ 26131-84 (Поковки из жаропрочных и жаростойких сплавов)ГОСТ 2715-75 (Сетки металлические)ГОСТ 27772-88 (Прокат для строительных стальных конструкций)ГОСТ 28548-90 (Трубы стальные.
Термины и определения)ГОСТ 2879-06 (Прокат сортовой стальной горячекатаный шестигранный. Сортамент)ГОСТ 28800-90 (Трубы металлические. Метод определения влаги на внутренней поверхности труб)ГОСТ 30136-95 (Катанка из углеродистой стали обыкновенного качества)ГОСТ 30245-2003 (Профили стальные гнутые замкнутые сварные квадратные и прямоугольные для строительных конструкций)ГОСТ 30246-94 (Прокат тонколистовой рулонный с защитно-декоративным лакокрасочным покрытием для строительных конструкций)ГОСТ 30564-98 (Трубы бесшовные горячедеформированные из углеродистых и легированных сталей со специальными свойствами)ГОСТ 30753-2001 (Детали трубопроводов бесшовные приварные из углеродистой и низколегированной стали. Отводы крутоизогнутые типа 2D (R~DN))ГОСТ 3262-75 (Трубы стальные водогазопроводные)ГОСТ 3306-88 (Сетки с квадратными ячейками из стальной рифленой проволоки)ГОСТ 3728-78 (Трубы. Метод испытания на загиб)ГОСТ 380-2005 (Сталь углеродистая обыкновенного качества. Марки)ГОСТ 3836-83 (Сталь электротехническая нелегированная тонколистовая и ленты)ГОСТ 3845-75 (Трубы металлические.
Метод испытания гидравлическим давлением)ГОСТ 4041-71 (Прокат листовой для холодной штамповки из конструкционной качественной стали)ГОСТ 4543-71 (Прокат из легированной конструкционной стали)ГОСТ 5005-82 (Трубы стальные электросварные холоднодеформированные для карданных валов)ГОСТ 5267.1-90 (Швеллеры. Сортамент)ГОСТ 5336-80 (Сетки стальные плетеные одинарные)ГОСТ 535-2005 (Прокат сортовой и фасонный из стали углеродистой обыкновенного качества)ГОСТ 550-75 (Трубы стальные бесшовные для нефтеперерабатывающей и нефтехимической промышленности)ГОСТ 5520-79 (Прокат листовой из углеродистой, низколегированной и легированной стали для котлов и сосудов, работающих под давлением)ГОСТ 5582-75 (Прокат тонколистовой коррозионностойкий, жаростойкий и жаропрочный)ГОСТ 5654-76 (Трубы стальные бесшовные горячедеформированные для судостроения)ГОСТ 5781-82 (Сталь горячекатаная для армирования ж/б конструкций)ГОСТ 5949-75 (Сталь сортовая и калиброванная коррозионностойкая, жаростойкая и жаропрочная)ГОСТ 5950-2000 (Прутки, полосы и мотки из инструментальной легированной стали)ГОСТ 6765-75 (Сталь трехслойная горячекатаная листовая и широкополосная (универсальная))ГОСТ 7062-90 (Поковки из углеродистой и легированной стали, изготовляемые ковкой на прессах)ГОСТ 7350-77 (Сталь толстолистовая коррозионностойкая, жаростойкая и жаропрочная)ГОСТ 7417-75 (Сталь калиброванная круглая.
Сортамент)ГОСТ 7566-94 (Металлопродукция. Приемка, маркировка, упаковка, транспортирование и хранение)ГОСТ 7829-70 (Поковки из углеродистой и легированной стали, изготовляемые ковкой на молотах)ГОСТ 82-70 (Прокат стальной горячекатаный широкополосный универсальный)ГОСТ 8239-89 (Двутавры стальные горячекатаные. Сортамент)ГОСТ 8240-97 (Швеллеры стальные горячекатаные. Сортамент)ГОСТ 8278-83 (Швеллеры стальные гнутые равнополочные)ГОСТ 8281-80 (Швеллеры стальные гнутые неравнополочные)ГОСТ 8478-81 (Сетки сварные для железобетонных конструкций)ГОСТ 8509-93 (Уголки стальные горячекатаные равнополочные. Сортамент)ГОСТ 8509-93 Приложение (Профили стальные горячекатаные)ГОСТ 8510-86 (Уголки стальные горячекатаные неравнополочные)ГОСТ 8559-75 (Сталь калиброванная квадратная)ГОСТ 8560-78 (Прокат калиброванный шестигранный. Сортамент)ГОСТ 8568-77 (Листы стальные с ромбическим и чечевичным рифлением)ГОСТ 8639-82 (Трубы стальные квадратные. Сортамент)ГОСТ 8642-68 (Трубы стальные овальные. Сортамент)ГОСТ 8644-68 (Трубы стальные плоскоовальные.
Сортамент)ГОСТ 8645-68 (Трубы стальные прямоугольные. Сортамент)ГОСТ 8646-68 (Трубы стальные с полыми ребрами. Сортамент)ГОСТ 8694-75 (Трубы. Метод испытания на раздачу)ГОСТ 8695-75 (Трубы. Метод испытания на сплющивание)ГОСТ 8696-74 (Трубы стальные электросварные со спиральным швом общего назначения)ГОСТ 8706-78 (Листы стальные просечно-вытяжные)ГОСТ 8731-87 (Трубы стальные бесшовные горячедеформированные)ГОСТ 8732-78 (Трубы стальные бесшовные горячедеформированные. Сортамент)ГОСТ 8733-74 (Трубы стальные бесшовные холоднодеформированные и теплодеформированные)ГОСТ 8734-75 (Трубы стальные бесшовные холоднодеформированные. Сортамент)ГОСТ 8943-75 (Соединительные части из ковкого чугуна с цилиндрической резьбой для трубопроводов. Номенклатура)ГОСТ 8944-75 (Соединительные части из ковкого чугуна с цилиндрической резьбой для трубопроводов. Технические условия)ГОСТ 8946-75 (Соединительные части из ковкого чугуна с цилиндрической резьбой для трубопроводов. Угольники проходные)ГОСТ 8947-75 (Соединительные части из ковкого чугуна с цилиндрической резьбой для трубопроводов.
Угольники переходные)ГОСТ 8948-75 (Соединительные части из ковкого чугуна с цилиндрической резьбой для трубопроводов. Тройники прямые)ГОСТ 8949-75 (Соединительные части из ковкого чугуна с цилиндрической резьбой для трубопроводов. Тройники переходные)ГОСТ 8950-75 (Соединительные части из ковкого чугуна с цилиндрической резьбой для трубопроводов. Тройники с двумя переходами)ГОСТ 8951-75 (Соединительные части из ковкого чугуна с цилиндрической резьбой для трубопроводов. Кресты прямые)ГОСТ 8952-75 (Соединительные части из ковкого чугуна с цилиндрической резьбой для трубопроводов. Кресты переходные)ГОСТ 8953-75 (Соединительные части из ковкого чугуна с цилиндрической резьбой для трубопроводов. Кресты с двумя переходами)ГОСТ 8954-75 (Соединительные части из ковкого чугуна с цилиндрической резьбой для трубопроводов. Муфты прямые короткие)ГОСТ 8955-75 (Соединительные части из ковкого чугуна с цилиндрической резьбой для трубопроводов. Муфты прямые длинные)ГОСТ 8956-75 (Соединительные части из ковкого чугуна с цилиндрической резьбой для трубопроводов.
Муфты компенсирующие)ГОСТ 8957-75 (Соединительные части из ковкого чугуна с цилиндрической резьбой для трубопроводов. Муфты переходные)ГОСТ 8958-75 (Соединительные части из ковкого чугуна с цилиндрической резьбой для трубопроводов. Ниппели двойные)ГОСТ 8959-75 (Соединительные части из ковкого чугуна с цилиндрической резьбой для трубопроводов. Гайки соединительные)ГОСТ 8960-75 (Соединительные части из ковкого чугуна с цилиндрической резьбой для трубопроводов. Футорки)ГОСТ 8961-75 (Соединительные части из ковкого чугуна с цилиндрической резьбой для трубопроводов. Контргайки)ГОСТ 8962-75 (Соединительные части из ковкого чугуна с цилиндрической резьбой для трубопроводов. Колпаки)ГОСТ 8963-75 (Соединительные части из ковкого чугуна с цилиндрической резьбой для трубопроводов. Пробки)ГОСТ 8965-75 (Части соединительные стальные с цилиндрической резьбой для трубопроводов Р=1,6 МПа)ГОСТ 8966-75 (Части соединительные стальные с цилиндрической резьбой для трубопроводов Р=1,6 МПа. Муфты прямые)ГОСТ 8967-75 (Части соединительные стальные с цилиндрической резьбой для трубопроводов Р=1,6 МПа.
Ниппели)ГОСТ 8968-75 (Части соединительные стальные с цилиндрической резьбой для трубопроводов Р=1,6 МПа. Контргайки)ГОСТ 8969-75 (Части соединительные стальные с цилиндрической резьбой для трубопроводов Р=1,6 МПа. Сгоны)ГОСТ 9045-93 (Прокат тонколистовой холоднокатаный из низкоуглеродистой качественной стали для холодной штамповки)ГОСТ 9234-74 (Профили стальные гнутые листовые с трапецевидным гофром. Сортамент)ГОСТ 9567-75 (Трубы стальные прецизионные. Сортамент)ГОСТ 9583-75 (Трубы чугунные напорные, изготовленные методами центробежного полунепрерывного литья. Технические условия)ГОСТ 9940-81 (Трубы бесшовные горячедеформированные из коррозионно-стойкой стали)ГОСТ 9941-81 (Трубы бесшовные холодно- и тепло- деформированные из коррозионно-стойкой стали)ГОСТ Р 51285-99 (Сетки проволочные крученые с шестиугольными ячейками для габионных конструкций)ГОСТ Р 51393-99 (Прокат тонколистовой холоднокатаный и гнутые профили из коррозионно-стойкой стали для вагоностроенияГОСТ Р 52079-2003 (Трубы стальные сварные для магистральных газопроводов, нефтепроводов и нефтепродуктопроводов)ГОСТ Р 52146-2003 (Прокат тонколистовой холоднокатаный и холоднокатаный горячеоцинкованный с полимерным покрытием с непрерывных линий)ГОСТ Р 52246-2004 (Прокат листовой горячеоцинкованный)ГОСТ Р 52544-2006 (Прокат арматурный свариваемый периодического профиля классов А500С и В500С для армирования железобетонный конструкций)ГОСТ Р 53383-2009 (Трубы стальные бесшовные горячедеформированные)ГОСТ Р 53580-2009 (Трубы стальные для промысловых трубопроводов)ГОСТ Р 54157-2010 (Трубы стальные профильные для металлоконструкций)ГОСТ Р 54159-2010 (Трубы стальные бесшовные и сварные холоднодеформированные общего назначения)ГОСТ Р 54384-2011 (Сталь.
Определение и классификация по химическому составу и классам качества)ГОСТ Р 54432-2011 (Фланцы арматуры, соединительных частей и трубопроводов на номинальное давление от PN 1 до PN 200)ГОСТ Р 54864-2011 (Трубы стальные бесшовные горячедеформированные для сварных стальных строительных конструкций)ГОСТ Р 9.316-2006 (Покрытия термодиффузионные, цинковые)
Уголок горячекатаный равнополочный по ГОСТ 8509–93
- 1. Сортамент и масса 1 м проката
- 2. Предельные отклонения размеров и массы
- 3. Предельные отклонения по длине
Сортамент на стальные равнополочные уголки регламентируется ГОСТ 8509–93. Размеры уголков и масса 1 м уголков должны соответствовать указанным на рисунке 1 и в таблице 1, а при поставках на экспорт – рекомендуемым, указанным на рисунке 3 и в таблице 3 (размеры и масса уголков по ISO 657.1–1989 Е).
По точности прокатки уголки подразделяют на:
- А — высокой точности;
- В — обычной точности.
Рис.
1. Уголок равнополочный по ГОСТ 8509–93
Условные обозначения: A — ширина полки; t — толщина полки; rвнутр — радиус внутреннего закругления; rвнешн — радиус внешнего закругления полок.
Таблица 1. Размеры и масса уголков по ГОСТ 8509–93
| Размеры A×A×t, мм | rвнутр, мм | rвнешн, мм | Масса 1 м, кг | Количество метров в тонне |
| 20×20×3 | 3,5 | 1,2 | 0,8871 | 1127 |
| 20×20×4 | 1,146 | 872,5 | ||
| 25×25×3 | 3,5 | 1,2 | 1,123 | 890,8 |
| 25×25×4 | 1,46 | 684,8 | ||
| 28×28×3 | 4 | 1,3 | 1,269 | 787,8 |
| 30×30×3 | 4 | 1,3 | 1,364 | 733,3 |
| 30×30×4 | 1,78 | 561,9 | ||
| 32×32×3 | 4,5 | 1,5 | 1,463 | 683,5 |
| 32×32×4 | 1,911 | 523,4 | ||
| 35×35×3 | 1,604 | 623,3 | ||
| 35×35×4 | 2,099 | 476,4 | ||
| 35×35×5 | 2,578 | 387,9 | ||
| 40×40×3 | 5 | 1,7 | 1,846 | 541,8 |
| 40×40×4 | 2,419 | 413,4 | ||
| 40×40×5 | 2,976 | 336 | ||
| 45×45×3 | 2,081 | 480,5 | ||
| 45×45×4 | 2,733 | 365,9 | ||
| 45×45×5 | 3,369 | 296,9 | ||
| 50×50×3 | 5,5 | 1,8 | 2,324 | 430,2 |
| 50×50×4 | 3,054 | 327,4 | ||
| 50×50×5 | 3,769 | 265,3 | ||
| 50×50×6 | 4,467 | 223,8 | ||
| 56×56×4 | 6 | 2 | 3,438 | 290,8 |
| 56×56×5 | 4,247 | 235,5 | ||
| 56×56×6* | 5,04 | 198,4 | ||
| 60×60×4 | 7 | 2,3 | 3,707 | 269,8 |
| 60×60×5 | 4,578 | 218,4 | ||
| 60×60×6 | 5,434 | 184 | ||
| 60×60×8 | 7,098 | 140,9 | ||
| 60×60×10 | 8,7 | 114,9 | ||
| 63×63×4 | 3,896 | 256,7 | ||
| 63×63×5 | 4,814 | 207,7 | ||
| 63×63×6 | 5,717 | 174,9 | ||
| 70×70×4,5 | 8 | 2,7 | 4,87 | 205,3 |
| 70×70×5 | 5,382 | 185,8 | ||
| 70×70×6 | 6,395 | 156,4 | ||
| 70×70×7 | 7,392 | 135,3 | ||
| 70×70×8 | 8,373 | 119,4 | ||
| 75×75×5 | 9 | 3 | 5,797 | 172,5 |
| 75×75×6 | 6,889 | 145,2 | ||
| 75×75×7 | 7,964 | 125,6 | ||
| 75×75×8 | 9,024 | 110,8 | ||
| 75×75×9 | 10,07 | 99,3 | ||
| 80×80×5,5 | 6,777 | 147,6 | ||
| 80×80×6 | 7,36 | 135,9 | ||
| 80×80×7 | 8,513 | 117,5 | ||
| 80×80×8 | 9,652 | 103,6 | ||
| 90×90×6 | 10 | 3,3 | 8,327 | 120,1 |
| 90×90×7 | 9,638 | 103,8 | ||
| 90×90×8 | 10,93 | 91,46 | ||
| 90×90×9 | 12,21 | 81,88 | ||
| 100×100×6,5 | 12 | 4 | 10,06 | 99,38 |
| 100×100×7 | 10,79 | 92,64 | ||
| 100×100×8 | 12,25 | 81,66 | ||
| 100×100×10 | 15,1 | 66,21 | ||
| 100×100×12 | 17,9 | 55,87 | ||
| 100×100×14 | 20,63 | 48,47 | ||
| 100×100×15 | 21,97 | 45,51 | ||
| 100×100×16 | 23,3 | 42,92 | ||
| 110×110×7 | 11,89 | 84,08 | ||
| 110×110×8 | 13,5 | 74,06 | ||
| 120×120×8 | 4,6 | 14,74 | 67,84 | |
| 120×120×10 | 12 | 4 | 18,23 | 54,87 |
| 120×120×12 | 21,65 | 46,19 | ||
| 120×120×15 | 26,67 | 37,5 | ||
| 125×125×8 | 14 | 4,6 | 15,46 | 64,7 |
| 125×125×9 | 17,29 | 57,85 | ||
| 125×125×10 | 19,1 | 52,36 | ||
| 125×125×12 | 22,68 | 44,09 | ||
| 125×125×14 | 26,2 | 38,17 | ||
| 125×125×16 | 29,65 | 33,73 | ||
| 140×140×9 | 19,41 | 51,53 | ||
| 140×140×10 | 21,45 | 46,61 | ||
| 140×140×12 | 25,5 | 39,21 | ||
| 150×150×10 | 23,02 | 43,43 | ||
| 150×150×12 | 27,39 | 36,51 | ||
| 150×150×15 | 33,82 | 29,57 | ||
| 150×150×18 | 40,11 | 24,93 | ||
| 160×160×10 | 16 | 5,3 | 24,67 | 40,53 |
| 160×160×11 | 27,02 | 37,01 | ||
| 160×160×12 | 29,35 | 34,07 | ||
| 160×160×14 | 33,97 | 29,44 | ||
| 160×160×16 | 38,52 | 25,96 | ||
| 160×160×18 | 43,01 | 23,25 | ||
| 160×160×20 | 47,44 | 21,08 | ||
| 180×180×11 | 16 | 5,3 | 30,47 | 32,82 |
| 180×180×12 | 33,12 | 30,19 | ||
| 200×200×12 | 18 | 6 | 36,97 | 27,05 |
| 200×200×13 | 39,92 | 25,05 | ||
| 200×200×14 | 42,85 | 23,34 | ||
| 200×200×16 | 48,65 | 20,55 | ||
| 200×200×20 | 60,08 | 16,64 | ||
| 200×200×25 | 74,02 | 13,51 | ||
| 200×200×30 | 87,56 | 11,42 | ||
| 220×220×14 | 21 | 7 | 47,4 | 21,1 |
| 220×220×16 | 53,83 | 18,58 | ||
| 250×250×16 | 24 | 8 | 61,55 | 16,25 |
| 250×250×18 | 68,86 | 14,52 | ||
| 250×250×20 | 76,11 | 13,14 | ||
| 250×250×22 | 83,31 | 12 | ||
| 250×250×25 | 93,97 | 10,64 | ||
| 250×250×28 | 104,5 | 9,57 | ||
| 250×250×30 | 111,44 | 8,97 |
* – нестандартный размер.
Примечание. Масса 1 м уголка вычислена по номинальным размерам при плотности материала 7850 кг/м3 и является справочной величиной.
Уголки изготавливают длиной от 4 до 12 м. По длине уголки подразделяют на:
- мерной длины;
- кратной мерной длины;
- немерной длины;
- ограниченной длины в пределах немерной.
Допускается изготовление уголков длиной свыше 12 м.
вернуться к содержанию
Таблица 2. Предельные отклонения размеров уголков
| Ширина полки уголка, мм | Предельные отклонения, мм | ||||||
| по ширине полки | по толщине полки | ||||||
| до 6 мм включ. | от 6,5 до 9 мм включ. | св. 9 мм | |||||
| А | В | А | В | А | В | ||
| от 20 до 45 | ±1,0 | +0,2/–0,3 | +0,3/–0,4 | — | — | — | — |
| 50–90 | ±1,5 | +0,2/–0,4 | +0,3/–0,5 | +0,2/–0,5 | +0,3/–0,6 | +0,3/–0,5 | +0,4/–0,6 |
| 100–150 | ±2,0 | — | — | +0,3/–0,5 | +0,4/–0,6 | +0,2/–0,6 | +0,4/–0,7 |
| 160–200 | ±3,0 | — | — | — | — | +0,4/–0,7 | +0,5/–0,8 |
| 220–250 | ±4,0 | — | — | — | — | +0,4/–0,8 | +0,5/–0,9 |
По согласованию с потребителем предельные отклонения по толщине полки допускается заменять предельными отклонениями по массе, равными для уголков I класса с полкой большей 75 мм ±2,5 %, а для всех остальных плюс 3, минус 5 %.
вернуться к содержанию
Стандарт регламентирует предельные отклонения по длине уголков мерной длины или кратной мерной длины. Они не должны превышать:
- +30 мм — при длине 4 м;
- +50 мм — при длине от 4 м до 6 м включ.;
- +70 мм — при длине от 6 м.
По требованию потребителя:
- +40 мм для уголков длиной от 4 до 7 м;
- +5 мм на каждый метр от 7 м.
вернуться к содержанию
‹ Уголок
Вверх по содержанию
Уголок неравнополочный по ГОСТ 8510–86 ›
Уголок стальной горячекатаный ГОСТ 8509-93/ГОСТ 8510-86
Главная \ Уголок стальной горячекатаный ГОСТ 8509-93/ГОСТ 8510-86
Уголок стальной – изделие из металла Г-образного профиля, полученный из углеродистой или низколегированной стали методом горячей катки металла либо изгибом листа под прессом. Уголок стальной широко используется в различных отраслях промышленности, строительстве при монтаже конструкций, их усиления, а также укреплении перегородок.
По способу производства уголки стальные подразделяются на: гнутые и горячекатаные. В зависимости от вида сечения – равнополочные и неравнополочные.
Уголок горячекатаный равнополочный соответствует ГОСТ 8509-93. Уголок горячекатаный неравнополочный – ГОСТ 8510-86.
Подразделяются уголки горячекатаные равнополочные и неравнополочные:
По точности:
— обычной точности («В»)
— высокой точности («А»)
По длине:
— мерной длины;
— немерной длины;
— длины, кратной мерной;
— ограниченной длины в пределах немерной.
Изготавливаются уголки длиной 4-12 метров.
Рис.1. Уголок равнополочный (ГОСТ 8509-93)
Условные обозначения:
A – ширина полки;
t – толщина полки;
r внутр.
– радиус внутреннего закругления;
r внешн. – радиус внешнего закругления полок.
Таблица 1. Размеры и масса уголков (ГОСТ 8509-93)
| Размеры мм | r внутр.,мм | r внешн.,мм | Масса 1 м уголка, кг | Кол-во метров в тонне |
| 20х20х3 | 3,5 | 1,2 | 0,8871 | 1127 |
| 20х20х4 | 1,146 | 872,5 | ||
| 25х25х3 | 1,123 | 890,8 | ||
| 25х25х4 | 1,460 | 684,8 | ||
| 25х25х5* | 1,782 | 561,2 | ||
| 28х28х3 | 4 | 1,3 | 1,269 | 787,8 |
| 30х30х3 | 4 | 1,3 | 1,364 | 733,3 |
| 30х30х4 | 1,780 | 561,9 | ||
| 30х30х5* | 2,180 | 458,7 | ||
| 32х32х3 | 4,5 | 1,5 | 1,463 | 683,5 |
| 32х32х4 | 1,911 | 523,4 | ||
| 35х35х3 | 1,604 | 623,3 | ||
| 35х35х4 | 2,099 | 476,4 | ||
| 35х35х5 | 2,578 | 387,9 | ||
| 40х40х3 | 5 | 1,7 | 1,846 | 541,8 |
| 40х40х4 | 2,419 | 413,4 | ||
| 40х40х5 | 2,976 | 336,0 | ||
| 40х40х6* | 3,518 | 284,3 | ||
| 45х45х3 | 2,081 | 480,5 | ||
| 45х45х4 | 2,733 | 365,9 | ||
| 45х45х5 | 3,369 | 296,9 | ||
| 45х45х6* | 3,989 | 250,7 | ||
| 50х50х3 | 5,5 | 1,8 | 2,324 | 430,2 |
| 50х50х4 | 3,054 | 327,4 | ||
| 50х50х5 | 3,769 | 265,3 | ||
| 50х50х6 | 4,467 | 223,8 | ||
| 50х50х7* | 5,150 | 194,2 | ||
| 50х50х8* | 5,818 | 171,9 | ||
| 56х56х4 | 6 | 2 | 3,438 | 290,8 |
| 56х56х5 | 4,247 | 235,5 | ||
| 56х56х6** | 5,040 | 198,4 | ||
| 60х60х4 | 7 | 2,3 | 3,707 | 269,8 |
| 60х60х5 | 4,578 | 218,4 | ||
| 60х60х6 | 5,434 | 184,0 | ||
| 60х60х8 | 7,098 | 140,9 | ||
| 60х60х10 | 8,700 | 114,9 | ||
| 63х63х4 | 3,896 | 256,7 | ||
| 63х63х5 | 4,814 | 207,7 | ||
| 63х63х6 | 5,717 | 174,9 | ||
| 70х70х4,5 | 8 | 2,7 | 4,870 | 205,3 |
| 70х70х5 | 5,382 | 185,8 | ||
| 70х70х6 | 6,395 | 156,4 | ||
| 70х70х7 | 7,392 | 135,3 | ||
| 70х70х8 | 8,373 | 119,4 | ||
| 70х70х10* | 10,29 | 97,20 | ||
| 75х75х5 | 9 | 3 | 5,797 | 172,5 |
| 75х75х6 | 6,889 | 145,2 | ||
| 75х75х7 | 7,964 | 125,6 | ||
| 75х75х8 | 9,024 | 110,8 | ||
| 75х75х9 | 10,07 | 99,3 | ||
| 80х80х5,5 | 6,777 | 147,6 | ||
| 80х80х6 | 7,360 | 135,9 | ||
| 80х80х7 | 8,513 | 117,5 | ||
| 80х80х8 | 9,952 | 103,6 | ||
| 80х80х10* | 11,88 | 84,2 | ||
| 80х80х12* | 14,05 | 71,2 | ||
| 90х90х6 | 10 | 3,3 | 8,327 | 120,1 |
| 90х90х7 | 9,638 | 103,8 | ||
| 90х90х8 | 10,93 | 91,46 | ||
| 90х90х9 | 12,21 | 81,88 | ||
| 90х90х10* | 13,48 | 74,20 | ||
| 90х90х12* | 15,96 | 62,67 | ||
| 100х100х6,5 | 12 | 4 | 10,06 | 99,38 |
| 100х100х7 | 10,79 | 92,64 | ||
| 100х100х8 | 12,25 | 81,66 | ||
| 100х100х10 | 15,10 | 66,21 | ||
| 100х100х12 | 17,90 | 55,87 | ||
| 100х100х14 | 20,63 | 48,47 | ||
| 100х100х15 | 21,97 | 45,51 | ||
| 100х100х16 | 23,30 | 42,92 | ||
| 110х110х7 | 11,89 | 84,08 | ||
| 110х110х8 | 13,50 | 74,06 | ||
| 120х120х8 | 4,6 | 14,74 | 67,84 | |
| 120х120х10 | 18,23 | 54,87 | ||
| 120х120х12 | 21,65 | 46,19 | ||
| 120х120х15 | 26,67 | 37,50 | ||
| 125х125х8 | 14 | 4,6 | 15,46 | 64,70 |
| 125х125х9 | 17,29 | 57,85 | ||
| 125х125х10 | 19,10 | 52,36 | ||
| 125х125х12 | 22,68 | 44,09 | ||
| 125х125х14 | 26,20 | 38,17 | ||
| 125х125х16 | 29,65 | 33,73 | ||
| 140х140х9 | 19,41 | 51,53 | ||
| 140х140х10 | 21,45 | 46,61 | ||
| 140х140х12 | 25,50 | 39,21 | ||
| 150х150х10 | 23,02 | 43,43 | ||
| 150х150х12 | 27,39 | 36,51 | ||
| 150х150х15 | 33,82 | 29,57 | ||
| 150х150х18 | 40,11 | 24,93 | ||
| 160х160х10 | 16 | 5,3 | 24,67 | 40,53 |
| 160х160х11 | 27,02 | 37,01 | ||
| 160х160х12 | 29,35 | 34,07 | ||
| 160х160х14 | 33,97 | 29,44 | ||
| 160х160х16 | 38,52 | 25,96 | ||
| 160х160х18 | 43,01 | 23,25 | ||
| 160х160х20 | 47,44 | 21,08 | ||
| 180х180х11 | 30,47 | 32,82 | ||
| 180х180х12 | 33,12 | 30,19 | ||
| 180х180х15* | 40,96 | 24,41 | ||
| 180х180х18* | 16 | 5,3 | 48,66 | 20,55 |
| 180х180х20* | 53,72 | 18,62 | ||
| 200х200х12 | 18 | 6 | 36,97 | 27,05 |
| 200х200х13 | 39,92 | 25,05 | ||
| 200х200х14 | 42,85 | 23,34 | ||
| 200х200х16 | 48,65 | 20,55 | ||
| 200х200х18* | 54,40 | 18,38 | ||
| 200х200х20 | 60,08 | 16,64 | ||
| 200х200х24* | 71,26 | 14,03 | ||
| 200х200х25 | 74,02 | 13,51 | ||
| 200х200х30 | 87,56 | 11,42 | ||
| 220х220х14 | 21 | 7 | 47,40 | 21,10 |
| 220х220х16 | 53,83 | 18,58 | ||
| 250х250х16 | 24 | 8 | 61,55 | 16,25 |
| 250х250х18 | 68,86 | 14,52 | ||
| 250х250х20 | 76,11 | 13,14 | ||
| 250х250х22 | 83,31 | 12,00 | ||
| 250х250х25 | 93,97 | 10,64 | ||
| 250х250х28 | 104,50 | 9,57 | ||
| 250х250х30 | 111,44 | 8,97 |
Рис.
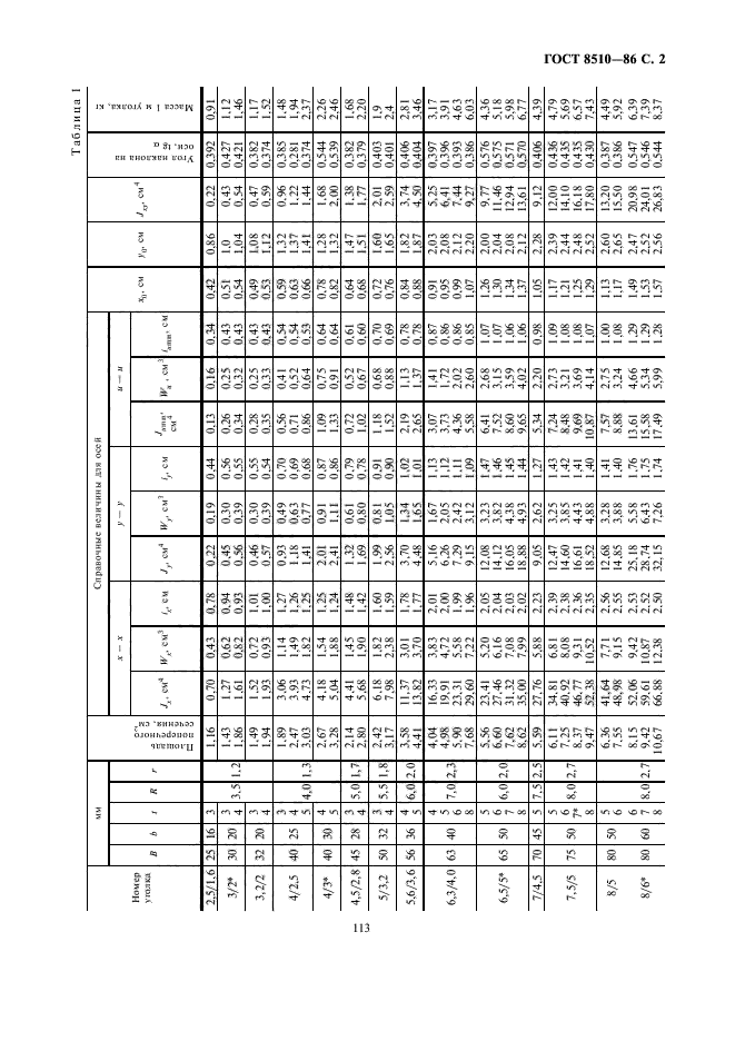
2. Уголок неравнополочный по ГОСТ 8510-86
Условные обозначения:
А – ширина большей полки;
B – ширина меньшей полки;
t – толщина полки;
r внутр. – радиус внутреннего закругления;
r внешн. – радиус внешнего закругления полок.
Таблица 2. Размеры и масса уголков по ГОСТ 8510-86
Номер уголка | A, мм | B, мм | t, мм | rвнутр., мм | rвнешн., мм | Масса 1 м уголка, кг | Количество метров в 1 т |
| 2,5/1,6 | 25 | 16 | 3 | 3,5 | 1,2 | 0,9107 | 1098 |
| 3,2 | 30 | 20 | 3 | 3,5 | 1,2 | 1,123 | 890,8 |
| 30 | 20 | 4 | 3,5 | 1,2 | 1,460 | 684,8 | |
| 3,2/2 | 32 | 20 | 3 | 3,5 | 1,2 | 1,170 | 854,9 |
| 32 | 20 | 4 | 3,5 | 1,2 | 1,523 | 656,6 | |
| 4/2,5 | 40 | 25 | 3 | 4 | 1,3 | 1,481 | 675,1 |
| 40 | 25 | 4 | 4 | 1,3 | 1,937 | 516,4 | |
| 40 | 25 | 5 | 4 | 1,3 | 2,376 | 420,8 | |
| 4/3 | 40 | 30 | 4 | 4 | 1,3 | 2,094 | 477,6 |
| 40 | 30 | 5 | 4 | 1,3 | 2,573 | 388,7 | |
| 4,5/2,8 | 45 | 28 | 3 | 5 | 1,7 | 1,681 | 594,9 |
| 45 | 28 | 4 | 5 | 1,7 | 2,199 | 454,8 | |
| 5/3,2 | 50 | 32 | 3 | 5,5 | 1,8 | 1,900 | 526,2 |
| 50 | 32 | 4 | 5,5 | 1,8 | 2,489 | 401,7 | |
| 5,6/3,6 | 56 | 36 | 4 | 6 | 2 | 2,810 | 355,8 |
| 56 | 36 | 5 | 6 | 2 | 3,462 | 288,9 | |
| 6,3/4,0 | 63 | 40 | 4 | 7 | 2,3 | 3,173 | 315,1 |
| 63 | 40 | 5 | 7 | 2,3 | 3,911 | 255,7 | |
| 63 | 40 | 6 | 7 | 2,3 | 4,633 | 215,8 | |
| 63 | 40 | 8 | 7 | 2,3 | 6,031 | 165,8 | |
| 6,5/5 | 65 | 50 | 5 | 6 | 2 | 4,365 | 229,1 |
| 65 | 50 | 6 | 6 | 2 | 5,181 | 193,0 | |
| 65 | 50 | 7 | 6 | 2 | 5,982 | 167,2 | |
| 65 | 50 | 8 | 6 | 2 | 6,767 | 147,8 | |
| 7/4,5 | 70 | 45 | 5 | 7,5 | 2,5 | 4,391 | 227,7 |
| 7,5/5 | 75 | 50 | 5 | 8 | 2,7 | 4,793 | 208,6 |
| 75 | 50 | 6 | 8 | 2,7 | 5,688 | 175,8 | |
| 75 | 50 | 7 | 8 | 2,7 | 6,567 | 152,3 | |
| 75 | 50 | 8 | 8 | 2,7 | 7,431 | 134,6 | |
| 8/5 | 80 | 50 | 5 | 8 | 2,7 | 4,990 | 200,4 |
| 80 | 50 | 6 | 8 | 2,7 | 5,924 | 168,8 | |
| 8/6 | 80 | 60 | 6 | 8 | 2,7 | 6,395 | 156,4 |
| 80 | 60 | 7 | 8 | 2,7 | 7,392 | 135,3 | |
| 80 | 60 | 8 | 8 | 2,7 | 8,373 | 119,4 | |
| 9/5,6 | 90 | 56 | 5,5 | 9 | 3 | 6,172 | 162,0 |
| 90 | 56 | 6 | 9 | 3 | 6,700 | 149,3 | |
| 90 | 56 | 8 | 9 | 3 | 8,773 | 114,0 | |
| 10/6,3 | 100 | 63 | 6 | 10 | 3,3 | 7,526 | 132,9 |
| 100 | 63 | 7 | 10 | 3,3 | 8,704 | 114,9 | |
| 100 | 63 | 8 | 10 | 3,3 | 9,866 | 101,4 | |
| 100 | 63 | 10 | 10 | 3,3 | 12,14 | 82,36 | |
| 10/6,5 | 100 | 65 | 7 | 10 | 3,3 | 8,814 | 113,5 |
| 100 | 65 | 8 | 10 | 3,3 | 9,991 | 100,1 | |
| 100 | 65 | 10 | 10 | 3,3 | 12,30 | 81,31 | |
| 11/7 | 110 | 70 | 6,5 | 10 | 3,3 | 8,985 | 111,3 |
| 110 | 70 | 8 | 10 | 3,3 | 10,93 | 91,46 | |
| 12,5/8 | 125 | 80 | 7 | 11 | 3,7 | 11,04 | 90,60 |
| 125 | 80 | 8 | 11 | 3,7 | 12,53 | 79,81 | |
| 125 | 80 | 10 | 11 | 3,7 | 15,47 | 64,66 | |
| 125 | 80 | 12 | 11 | 3,7 | 18,34 | 54,53 | |
| 14/9 | 140 | 90 | 8 | 12 | 4 | 14,13 | 70,77 |
| 140 | 90 | 10 | 12 | 4 | 17,46 | 57,28 | |
| 16/10 | 160 | 100 | 9 | 13 | 4,3 | 17,96 | 55,69 |
| 160 | 100 | 10 | 13 | 4,3 | 19,85 | 50,38 | |
| 160 | 100 | 12 | 13 | 4,3 | 23,58 | 42,40 | |
| 160 | 100 | 14 | 13 | 4,3 | 27,26 | 36,69 | |
| 18/11 | 180 | 110 | 10 | 14 | 4,7 | 22,24 | 44,97 |
| 180 | 110 | 12 | 14 | 4,7 | 26,44 | 37,82 | |
| 20/12,5 | 200 | 125 | 11 | 14 | 4,7 | 27,37 | 36,54 |
| 200 | 125 | 12 | 14 | 4,7 | 29,74 | 33,62 | |
| 200 | 125 | 14 | 14 | 4,7 | 34,43 | 29,04 | |
| 200 | 125 | 16 | 14 | 4,7 | 39,07 | 25,60 |
Адрес : г.
Симферополь , ул. Генерала Васильева 27 А
Тел. +7(978)9581313
Тел. +7(978)9581414
Тел. +7(978)9581515
e-mail : [email protected]
Цельсия 355 RHS i | ЕН 10210-2:2006-04 | Корус | Горячедеформированные прямоугольные полые профили | Горячекатаный | ||
Цельсия 355 RHS i | ЕН 10210-2:2006-04 | Тата Сталь | Горячедеформированные прямоугольные полые профили | Горячекатаный | ||
Цельсия 355 ШС я | ЕН 10210-2:2006-04 | Корус | Квадратные полые профили горячего формования | Горячекатаный | ||
Цельсия 355 ШС я | ЕН 10210-2:2006-04 | Тата Сталь | Горячеформованные квадратные полые профили | Горячекатаный | ||
Цельсия RHS i | ЕН 10210-2:2006-04 | Корус | Горячедеформированные прямоугольные полые профили | Горячекатаный | ||
Цельсия СВС i | ЕН 10210-2:2006-04 | Корус | Квадратные полые профили горячей штамповки | Горячекатаный | ||
DuraGal RHS и | КАК 4100-1998 | OneSteel | Холодногнутые прямоугольные полые профили | Холоднокатаный | ||
DuraGal SHS и | КАК 4100-1998 | OneSteel | Холодногнутые квадратные полые профили | Холодная штамповка | ||
Galtube RHS i | КАК/НЗС 4600 | OneSteel | Холодногнутые прямоугольные полые профили | Холоднокатаный | ||
Galtube SHS и | КАК/НЗС 4600 | OneSteel | Холодногнутые квадратные полые профили | Холоднокатаный | ||
Hybox 355 RHS и | ЕН 10219-2:2006-04 | Тата Сталь | Холодногнутые прямоугольные полые профили | Холоднокатаный | ||
Hybox 355 SHS и | ЕН 10219-2:2006-04 | Тата Сталь | Холодногнутые квадратные полые профили | Холоднокатаный | ||
Hybox RHS i | ЕН 10219-2:2006-04 | Корус | Холодногнутые прямоугольные полые профили | Холоднокатаный | ||
Hybox SHS и | ЕН 10219-2:2006-04 | Корус | Холодногнутые квадратные полые профили | Холоднокатаный | ||
МШК и | ДИН 59410:1974-05 | Маннесманн | Квадратные полые профили горячего формования | Горячекатаный | ||
МШК и | ЕН 10210-2:1997 | Маннесманн | Квадратные полые профили горячего формования | Горячекатаный | ||
МШ КХП и | ДИН ЕН 10210-2:2006 | Валлорек и Маннесманн | Квадратные полые профили горячего формования | Горячекатаный | ||
МШ Р и | ДИН 59410:1974-05 | Маннесманн | Горячедеформированные прямоугольные полые профили | Горячекатаный | ||
МШ Р и | ЕН 10210-2:1997 | Маннесманн | Горячедеформированные прямоугольные полые профили | Горячекатаный | ||
МШ РХП и | ДИН ЕН 10210-2:2006 | Валлорек и Маннесманн | Горячедеформированные прямоугольные полые профили | Горячекатаный | ||
| ИМКА | — | Квадратные полые профили горячего формования | Горячекатаный | |||
ИЛИ (PR) и | ИМКА | — | Горячедеформированные прямоугольные полые профили | Горячекатаный | ||
Прямоугольная быстрорежущая сталь и | АИСК 13 | — | Холодногнутые прямоугольные полые профили | Холоднокатаный | ||
Прямоугольная быстрорежущая сталь и | АИС 14 | — | Холодногнутые прямоугольные полые профили | Холоднокатаный | ||
Прямоугольная быстрорежущая сталь и | МАИС 15 | — | Холодногнутые прямоугольные полые профили | Холоднокатаный | ||
Прямоугольная быстрорежущая сталь и | АИС 9 | — | Холодногнутые прямоугольные полые профили | Холоднокатаный | ||
Прямоугольная быстрорежущая сталь и | CAN/CSA-G40. 20 | — | Холодногнутые прямоугольные полые профили | Холоднокатаный | ||
Прямоугольная быстрорежущая сталь (A1085) и | МАИС 15 | — | Холодногнутые прямоугольные полые профили | Холоднокатаный | ||
Прямоугольная быстрорежущая сталь (ASTM A500) i | CAN/CSA-G40.20 | — | Холодногнутые прямоугольные полые профили | Холоднодеформированный | ||
Прямоугольная быстрорежущая сталь (ASTM A500) i | КИСЦ 12 | — | Холодногнутые прямоугольные полые профили | Холоднокатаный | ||
Прямоугольная быстрорежущая сталь (CSA G40. и | КИСЦ 12 | — | Холодногнутые прямоугольные полые профили | Холодная штамповка | ||
| ЕН 10219-2:1997 | Континентальная сталь | Холодногнутые прямоугольные полые профили | Холоднокатаный | |||
| ЕН 10210-2:1997 | Континентальная сталь | Горячедеформированные прямоугольные полые профили | Горячекатаный | |||
| — | Акос Континенте | Холодногнутые прямоугольные полые профили | Холоднокатаный | |||
| — | Макстил | Холодногнутые прямоугольные полые профили | Холоднокатаный | |||
| — | Руукки | Холодногнутые прямоугольные полые профили | Холоднокатаный | |||
| — | СТИ | Холодногнутые прямоугольные полые профили | Холоднокатаный | |||
| БС 4848-2 | Британская сталь | Горячедеформированные прямоугольные полые профили | Горячекатаный | |||
| БС ЕН 10210-2:2006 | Британская сталь | Горячедеформированные прямоугольные полые профили | Горячекатаный | |||
| БС ЕН 10219-2:2006 | Британская сталь | Холодногнутые прямоугольные полые профили | Холоднокатаный | |||
| ДИН 59410:1974-05 | — | Горячедеформированные прямоугольные полые профили | Горячекатаный | |||
| ДИН 59411:1978-07 | — | Холодногнутые прямоугольные полые профили | Холоднокатаный | |||
| ЕН 10210-2 | АЛУКЕНИГШТАЛЬ | Горячедеформированные прямоугольные полые профили | Горячекатаный | |||
| ЕН 10210-2 | Кондеса | Горячедеформированные прямоугольные полые профили | Горячекатаный | |||
| ЕН 10210-2:1997 | — | Горячедеформированные прямоугольные полые профили | Горячекатаный | |||
| ЕН 10210-2:2006-04 | — | Горячедеформированные прямоугольные полые профили | Горячекатаный | |||
| ЕН 10219-2 | АЛУКЕНИГШТАЛЬ | Холодногнутые прямоугольные полые профили | Холоднокатаный | |||
| ЕН 10219-2 | Кондеса | Холодногнутые прямоугольные полые профили | Холоднокатаный | |||
| ЕН 10219-2 | Ферона | Холодногнутые прямоугольные полые профили | Холоднокатаный | |||
| ЕН 10219-2 | Воестальпине | Холодногнутые прямоугольные полые профили | Холоднокатаный | |||
| ЕН 10219-2:1997 | — | Холодногнутые прямоугольные полые профили | Холоднокатаный | |||
| ЕН 10219-2:2006-04 | — | Холодногнутые прямоугольные полые профили | Холоднокатаный | |||
| ЕН 10305-5 | АЛУКЕНИГШТАЛЬ | Холодногнутые прямоугольные полые профили | Холоднокатаный | |||
| ЕН 10305-5 | Voestalpine | Холодногнутые прямоугольные полые профили | Холоднокатаный | |||
| ГБ/т 6728-1986 | — | Холодногнутые прямоугольные полые профили | Холоднокатаный | |||
| ГБ/т 6728-2002 | — | Холодногнутые прямоугольные полые профили | Холоднокатаный | |||
| ГБ/т 6728-2017 | — | Холодногнутые прямоугольные полые профили | Холоднокатаный | |||
| ГОСТ 30245-03 | — | Холодногнутые прямоугольные полые профили | Холоднокатаный | |||
| ГОСТ 30245-94 | — | Холодногнутые прямоугольные полые профили | Холоднокатаный | |||
| ГОСТ 8645-68 | — | Холодногнутые прямоугольные полые профили | Холоднокатаный | |||
| ИС 4923-1997 | — | Холодногнутые прямоугольные полые профили | Холоднокатаный | |||
| ДЖИС Г 3466 | — | Холодногнутые прямоугольные полые профили | Холоднокатаный | |||
| ТУ 36-671-77 | — | Горячедеформированные прямоугольные полые профили | Горячекатаный | |||
RHS (старая версия) и | — | Британская сталь | Горячедеформированные прямоугольные полые профили | Горячекатаный | ||
РРК (правая сторона) и | ЕН 10219-2:1997 | СЗС | Холодногнутые прямоугольные полые профили | Холодная штамповка | ||
РРК (ШС) и | ЕН 10219-2:1997 | СЗС | Холодногнутые квадратные полые профили | Холоднокатаный | ||
RRW (правая сторона) и | ЕН 10210-2:1997 | СЗС | Горячедеформированные прямоугольные полые профили | Горячекатаный | ||
РЖД (ШС) и | ЕН 10210-2:1997 | СЗС | Квадратные полые профили горячего формования | Горячекатаный | ||
РТ (Таблица 18) i | АДМ 2020 | — | Полые квадратные профили с острыми углами | — | ||
РТ (Таблица 19) i | АДМ 2020 | — | Прямоугольные полые профили с острыми углами | — | ||
РТ (Таблица 23) i | АДМ 2015 | — | Полые квадратные профили с острыми углами | — | ||
РТ (Таблица 24) i | АДМ 2015 | — | Прямоугольные полые профили с острыми углами | — | ||
| ЕН 10219-2:1997 | Континентальная сталь | Холодногнутые квадратные полые профили | Холоднокатаный | |||
| ЕН 10210-2:1997 | Континентальная сталь | Квадратные полые профили горячей штамповки | Горячекатаный | |||
| — | Акос Континенте | Холодногнутые квадратные полые профили | Холоднокатаный | |||
| — | Макстил | Холодногнутые квадратные полые профили | Холоднокатаный | |||
| — | Руукки | Холодногнутые квадратные полые профили | Холоднокатаный | |||
| — | СТИ | Холодногнутые квадратные полые профили | Холоднокатаный | |||
| БС 4848-2 | Британская сталь | Квадратные полые профили горячего формования | Горячекатаный | |||
| БС ЕН 10210-2:2006 | Британская сталь | Квадратные полые профили горячего формования | Горячекатаный | |||
| БС ЕН 10219-2:2006 | Британская сталь | Холодногнутые квадратные полые профили | Холоднокатаный | |||
| ДИН 59410:1974-05 | — | Квадратные полые профили горячего формования | Горячекатаный | |||
| ДИН 59411:1978-07 | — | Холодногнутые квадратные полые профили | Холоднокатаный | |||
| ЕН 10210-2 | АЛУКЕНИГШТАЛЬ | Квадратные полые профили горячего формования | Горячекатаный | |||
| ЕН 10210-2 | Кондеса | Квадратные полые профили горячей штамповки | Горячекатаный | |||
| ЕН 10210-2:1997 | — | Квадратные полые профили горячего формования | Горячекатаный | |||
| ЕН 10210-2:2006-04 | — | Квадратные полые профили горячего формования | Горячекатаный | |||
| ЕН 10219-2 | АЛУКЕНИГШТАЛЬ | Холодногнутые квадратные полые профили | Холоднокатаный | |||
| ЕН 10219-2 | Кондеса | Холодногнутые квадратные полые профили | Холоднокатаный | |||
| ЕН 10219-2 | Ферона | Холодногнутые квадратные полые профили | Холоднокатаный | |||
| ЕН 10219-2 | Voestalpine | Холодногнутые квадратные полые профили | Холоднокатаный | |||
| ЕН 10219-2:1997 | — | Холодногнутые квадратные полые профили | Холоднокатаный | |||
| ЕН 10219-2:2006-04 | — | Холодногнутые квадратные полые профили | Холодная штамповка | |||
| ЕН 10305-5 | АЛУКЕНИГШТАЛЬ | Холодногнутые квадратные полые профили | Холоднокатаный | |||
| ЕН 10305-5 | Voestalpine | Холодногнутые квадратные полые профили | Холоднокатаный | |||
| ГБ/т 6728-1986 | — | Холодногнутые квадратные полые профили | Холоднокатаный | |||
| ГБ/т 6728-2002 | — | Холодногнутые квадратные полые профили | Холоднокатаный | |||
| ГБ/т 6728-2017 | — | Холодногнутые квадратные полые профили | Холоднокатаный | |||
| ГОСТ 30245-03 | — | Холодногнутые квадратные полые профили | Холоднокатаный | |||
| ГОСТ 30245-94 | — | Холодногнутые квадратные полые профили | Холоднокатаный | |||
| ГОСТ 8639-68 | — | Холодногнутые квадратные полые профили | Холоднокатаный | |||
| ГОСТ 8639-82 | — | Холодногнутые квадратные полые профили | Холоднокатаный | |||
| ИС 4923-1997 | — | Холодногнутые квадратные полые профили | Холоднокатаный | |||
| ДЖИС Г 3466 | — | Холодногнутые квадратные полые профили | Холодная штамповка | |||
| ТУ 36-671-77 | — | Квадратные полые профили горячего формования | Горячекатаный | |||
Кв. и | АИС 13 | — | Холодногнутые квадратные полые профили | Холоднокатаный | ||
кв. HSS я | АИС 14 | — | Холодногнутые квадратные полые профили | Холоднокатаный | ||
Кв. HSS и | МАИС 15 | — | Холодногнутые квадратные полые профили | Холоднокатаный | ||
Кв. HSS и | АИС 9 | — | Холодногнутые квадратные полые профили | Холоднокатаный | ||
Кв. и | CAN/CSA-G40.20 | — | Холодногнутые квадратные полые профили | Холоднокатаный | ||
кв. HSS (A1085) и | МАИС 15 | — | Холодногнутые квадратные полые профили | Холоднокатаный | ||
кв. быстрорежущая сталь (ASTM A500) i | CAN/CSA-G40.20 | — | Холодногнутые квадратные полые профили | Холоднокатаный | ||
кв. i | КИСЦ 12 | — | Холодногнутые квадратные полые профили | Холодная штамповка | ||
Квадрат HSS (CSA G40.20) i | КИСЦ 12 | — | Холодногнутые квадратные полые профили | Холоднокатаный | ||
Трубопровод RHS i | КАК 4100-1998 | OneSteel | Холодногнутые прямоугольные полые профили | Холоднокатаный | ||
Трубка СВС и | КАК 4100-1998 | OneSteel | Холодногнутые квадратные полые профили | Холоднокатаный |
Buy hot-rolled steel sheet GOST-19903-74
| Name | Price | |||
|---|---|---|---|---|
Hot rolled sheet (hr) steel 3ps | ||||
| 1,9 (1 * 2 ) | Договорная | |||
| 1,9 (1,25 * 2,5) | Договоренно | |||
| 2 (1 * 2) | Договоренно | |||
| 2 (1,25 * 2,5) | ||||
| 2 (1,25 * 2,5) | ||||
2.![]() | ||||
| 2,5 (1 * 2) | Договорная | |||
| 2,5 (1,25 * 2,5) | Договорная | |||
| 2 (1,2 * 1,2 * 1,2 * 2,004) 3 (1,2 * 2,5) 5) | Договорная | |||
| 4 (1,5*6) | Договорная | |||
| 5 (1,5*6) | Negotiable | |||
| 6 (1,5 * 6) | Negotiable | |||
| 8 (1,5 * 6) | Negotiable | |||
| 8 (2 * 6) | Negotiable | |||
| 10 (1,5*6) (2*6) | Договорная | |||
| 12 (1,5*6) (2*6) | Договорная | |||
| 14 (1,5*6) (2 * 6) | Договорная | |||
| 16 (1,5 * 6) (2 * 6) | Договорная | |||
| 20 (2 * 6) (1,5 * 6) | Согласованность | |||
| 21-50 | Договоренно | |||
7 | ||||
77 | 9005 | |||
| 2 (1 * 2) | Договоренно | |||
| 2 (1,25 * 2,5) | . Договоренно | |||
| 2,5 (1 * 2) | 2,5 (1 * 2) | 9005 | 2,5 (1 * 2) | |
| 2,5 (1 * 2) | ||||
| 2,5 (1 * 2) | ||||
| 2,5 (1 * 2) | ||||
| 2,5 (1 * 2) | 2,5 (1,25*2,5) | Договорная | ||
| 3 (1 * 2)(1,25 * 2,5) | Цена договорная | |||
| 4 (1,5 * 6) | Цена договорная | 4 | Negotiable | |
| 6 (1,5 * 6) | Negotiable | |||
| 8 (1,5 * 6) | Negotiable | |||
| 8 (2 * 6) | Negotiable | |||
| 10 (1,5*6) (2*6) | Договорная | |||
| 12 (1,5*6) (2*6) | Договоренно | |||
| 14 (1,5 * 6) (2 * 6) | Договоренно | |||
| 16 (1,5 * 6) (2 * 6) | Договоренно | |||
| 20 (2) | ||||
| 20 (2) * 6) (1,5 * 6) | Договоренно | |||
| 21-50 | Договоренно | |||
| 51-100 | Договоренно | |||
CORRUGATED Steel Seate 1-3PS, KP | ||||
CORRUGATED Steel Peate 1-3PS, KP | ||||
| 9929 . | 3 (1 * 4) | Цена договорная | ||
| 4 (1,25 * 6) | Договоренно | |||
| 5 (1,25 * 6) | Договоренно | |||
| 6 (1,25 * 6) | Договоренно | |||
| 8 (10005 | ||||
| , 25 * 6) | Договоренно | |||
Лист холодно-приверженной сталь 1-3 PS, 08KP | ||||
| 0,5 (1 * 2) | . 25 * 2,5) | Договорная | ||
| 0,6 (1 * 2) | Договорная | |||
| 0,6 (1,25 * 2,5) | Договорная | |||
| 0,7 (1 * 2) | Договорная | |||
| Договоренно | ||||
| 0,8 (1 * 2) | Согласованность | |||
| 0,8 (1,25 * 2,5) | ||||
| 1 (1 * 2) (1, 25*2,5) | Договорная | |||
| 1,2 (1*2) | Договорная | |||
| 1,2 (1,25*2,5) | Договоренно | |||
| 1,4 (1 * 2) | Договоренно | |||
| 1,4 (1,25 * 2,5) | ||||
| 1,5 (1 * 2) | ||||
| 1,5 (1 * 2) | Договоренно | |||
| 1,5 (1,25 * 2,5) | Договоренно | |||
| 1,8 (1 * 2) | Договоренно | |||
| 1,8 (1,25 * 2, | ||||
| 1,8 (1,25 * 2, 5) | Договорная | |||
| 2 (1*2) | Договорная | |||
| 2 (1,25*2,5) | Договоренно | |||
| 2,5 (1,25 * 2,5) | Договоренно | |||
| 3 (1,25 * 2,5) | ОБЩЕСТВЕННЫЙ | |||
HOT-Rolled GOST 1623333333164 | Sheets-Rolled Gost 1623333333333333333333333333333333333333333333333333333333333333333333333333333333333333333333н. | |||
| 5х1500х6000 | Negotiable | |||
| 6х2000х5600, 11200 | Negotiable | |||
| 6,5-7,8х1600 х 5200 | Negotiable | |||
| 8х2080х580, 830, 6130, 1900, 6000 | Negotiable | |||
| 10х1800, 2000, 2500х1900, 5400,11410 | Negotiable | |||
| 12х2500, 2000х6000, 11430 | Negotiable | |||
| 14х2000, 2500х1450, 6000 | Negotiable | |||
| 16х2000х3400, 6000 | Negotiable | |||
| 18х2000, 2500х4500,6000 | Negotiable | |||
| 19х2,44х0,59 | Negotiable | |||
| 20х2000х6000 | Negotiable | |||
| 22х2000х6000 | Negotiable | |||
| 25х2000х6000 | Negotiable | |||
| 30х2000х3000, 6000 | Negotiable | |||
| 32х2500х10050 | Negotiable | |||
| 36х2000х6000, 7000, 8500 | Договор | |||
| 38х1500х6000 | Договор | |||
| 40х2000х6000, 11880 | Negotiable | |||
| 45х2000, 2500х6000 | Negotiable | |||
| 50х2000, 2500х6000 | Negotiable | |||
| 55х2000х6000, 8000 | Negotiable | |||
| 60х2000х6000 | Negotiable | |||
| 70х2000х6000 | Negotiable | |||
| 80х2000х6000 | Договор | |||
| 90х1500, 2000х6000 | Договор | |||
| 100х2000х6000 | Negotiable | |||
| 110х2000х6000 | Negotiable | |||
| 120х2000х6000 | Negotiable | |||
| 130х2000х4500, 6000 | Negotiable | |||
| 140х2000х6000 | Negotiable | |||
| 150х2000х6000 | Negotiable | |||
| 160х2000х6000 | Торг | |||
| 170х2000х6000 | Negotiable | |||
| 180х2000х6000 | Negotiable | |||
| 200х2000х6000 | Negotiable | |||
Galvanized steel sheet
| Name | Price |
|---|---|
Steel 08пс/кп | |
| 0,40 (1000х2000) | Договорная |
| 0,45 (1000х2000) | Договорная |
| Договоренно | |
| 0,55 (1000х2000) (1250х2500) | . Обеспокоенный |
| 0,6 (1000х2000) (1250х2500) | 49004 | 04004004004004004004004004004004004004004004004004004.1001500400400400400400400) (1250х2500) |
| 0,7 (1000х2000)(1250х2500) | Negotiable |
| 0,8 (1000х2000)(1250х2500) | Negotiable |
| 0,9 (1250х2500) | Negotiable |
| 1,0 (1000х2000)(1250х2500) | Negotiable |
| 1,2 (1000х2000)(1250х2500) | Negotiable |
| 1,4 — 2 (1000х2000)(1250х2500) | Negotiable |
DX51D | |
| 0,4 (1000х2000) | Negotiable |
| 0,45 (1000х2000) | Negotiable |
| 0,5 (1000х2000)(1250х2500) | Negotiable |
| 0,55 (1000х2000)(1250х2500) | Договоренно |
| 0,6 (1000х2000) (1250х2500) | |
| 0,8 (1000х2000) (1250х2500) | Договоренно |
| 0,9 (1000х2000) (1250х2500) | |
| 1,2 (1000–2000) (1250х2500) | Согласный |
| 1,4 — 2,0 (1000 000) (1250х2500) | . mm) |
| 0.4 | Negotiable |
| 0.45 | Negotiable |
| 0.5 | Negotiable |
| 0.55 | Negotiable |
| 0.6 | Negotiable |
| 0.65 | Negotiable |
| 0.7 | Negotiable |
| 0.8 | Negotiable |
| 0.9 | Negotiable |
| 1 | Negotiable |
Hot- прокат сталь листовая – один из видов металлопродукции, пользующихся наибольшим спросом на рынке металлопроката.
Сортамент стального листа соответствует ГОСТ-19903-74. Лист горячекатаный изготавливают из различных марок стали в зависимости от особенностей применения той или иной продукции. Лист стальной горячекатаный
классифицируют на несколько групп в зависимости от внешних признаков и технических характеристик. Так, в зависимости от толщины металла изделие может быть тонколистовым/толстолистовым (более 4 мм). В процессе изготовления листа стальной профиль проходит несколько этапов обработки: сначала металл нагревается, а затем деформируется до нужной толщины путем прокатки на специальном стане.
Характеристики и применение
Лист горячекатаный изготавливается из тонкой легированной/углеродистой стали с обрезной/необрезной кромкой. Вы можете купить лист гк в рулонах (толщина 1,2-12 мм) или в исходном виде (толщина листа 0,5-160 мм).
Листовой горячекатаный прокат имеет ряд характеристик:
- Высокая прочность;
- Пластик;
- Долговечность;
- Универсальность.

Листовая сталь широко используется во многих отраслях промышленности, а также в строительстве. Листы горячекатаные можно использовать для создания лестниц, заборов, дверей, металлоконструкций различного назначения, в судостроении и машиностроении.
Отдельно стоит отметить отрасли, предъявляющие особо высокие требования к поверхности изделий из листового металла. Например, такой вид листового проката, как сталь с травленой поверхностью (оцинкованная), широко используется при создании труб, фасонного проката, холоднокатаного листа.
Почему вы должны купить продукт у нас?
Наша компания занимается продажей качественного стального проката, поэтому обратившись к нам, вы сможете выбрать именно то, что вам нужно. Все заявки обрабатываются максимально быстро, заказы формируются четко, точно, качественно. Работаем под ключ, оказывая при необходимости ряд дополнительных услуг: резка, сборка металла и доставка по указанному клиентом адресу в кратчайшие сроки.
Если Вас интересует покупка качественной листовой стали, мы готовы реализовать товар по всей территории Украины. Подробный прайс-лист, где цена указана за 1 м листа, и каталог продукции можно найти на сайте. Листы стальные толщиной 2, 3, 4, 5, 6, 7, 8, 10, 12, 14, 16, 18, 20, 22, 25, 30, 36, 40, 45, 50, 55, 60 мм. всегда в наличии, 70, 80, 90, 100, 110, 120 мм и размеры 1×2, 1×4, 1,25×2,5, 1,5×6, 2×6, 1,5×8, 2×8, 2×12, 1,5 ×12 м.
- Структурная
- Steel 3
- Steel 20
- Steel 35
- Steel 45
- Steel 20X
- Steel 40X
- Steel 18KHGT
- Steel 18KHGT
- Steel 38ХС
- Steel 40ХН
- Steel 09G2S
- Steel 17G1S
- Сталь 30 кгсса
- Сталь 35HGSA
- Сталь 12хN3A
- Сталь 20хN3A
- Сталь 20KH3N4A
- Сталь 18KH3N4MA
- Сталь 40SHN2MA
- 88MA
- Сталь 40SHN2MA
- 884MA
- Сталь 40хN29
- 88884MA
- сталь 403939
- 884MA
- .

- Steel 65G
- Steel 60S2HFA
- Steel ShKh25-V
- Steel 08KP
- Instrumental
- Steel U8A
- Steel 9ХС
- Steel KhVG
- Steel 6ХВ2С
- Steel 7Х3
- Steel 5ХНМ
- Steel 4Х5МФС
- Сталь Р18
- Сталь Р6М5
- Сталь 8ХФ
- Жаропрочная
- Сталь 35ХМ
- Сталь 30ХМА
А
- Steel 25Kh2MF
Сталь3038 Steel 25Х2М1Ф
- Steel 20Х13
- Steel 30Х13
- Steel 40Х13
- Steel 14Х17Н2
- Steel 08Х18Н10Т
- Steel 12Х18Н10Т
- Steel 08Х18Н10
- Steel 12Х18Н10
Размеры уголка металлического
Уголок металлический – изделие, широко применяемое в промышленности, при строительстве зданий и сооружений, а также в других областях народного хозяйства. Благодаря особой конструкции этот вид металлопроката обладает повышенной жесткостью и может использоваться для сборки каркасов с большим запасом прочности.
Он представляет собой уголок длинномерного стального изделия, в сечении напоминающий букву «Г». Основных его видов всего два: равный и неравный. В первом случае ширина «полочек» для продуктов одинаковая, во втором – разная. Размеры металлического уголка, его вес и вид материала изготовления регламентирует ГОСТ.
Классификация
Уголки равнополочные и неравнополочные могут быть:
Первая разновидность характеризуется повышенной прочностью. Такой уголок обычно используют для возведения металлических конструкций, подвергающихся высоким нагрузкам. Изогнутые углы наиболее популярны. Они используются повсеместно. Изготавливаются методом гибки стальных полос на специальном прессовом оборудовании.
Также эти металлические изделия классифицируются на:
Стандартные;
Высокая точность.
Первый сорт маркируется буквой «Б», второй — «А».
Длина металлического уголка
По этому параметру изделия классифицируются на габаритные и необъятные.
Также существует угол кратной длины и ограниченный. Мерные изделия могут иметь длину 6, 7, 9, 10, 11 или 12 м. Их стоимость зависит от веса (то есть потребитель платит не за единицу товара, а за общий вес покупки или хотя бы метраж). Немагнитный уголок может иметь любую длину. В данном случае этот показатель варьируется от 4 до 12 м. Чаще всего строительные материалы такого типа не слишком длинные, так как часто представляют собой просто обрезки габаритных изделий.
Иногда при изготовлении разного рода каркасов, несущих конструкций и т.п. требуется, чтобы размеры металлического уголка были нестандартными. При этом у заказчика есть возможность заказать изделия длиной более 12 м.
Точность длины
Помимо прочего, ГОСТ регламентирует и максимальное отклонение угла по этому параметру. Последняя не должна быть более:
30 мм на длину 4 м;
40 мм для изделий до 6 м;
70 мм для уголка длиной от 6 до 12 м.
По желанию заказчика данные параметры могут быть изменены в сторону большей точности (40 мм для изделий длиной 4-7 м плюс 5 мм на каждый метр длины свыше 7 м).
ГОСТы регламентируют не только размеры уголка металла равнополочного и неравнополочного, их массу и предельные отклонения, но и степень их кривизны. Ведь качественные изделия обязательно должны быть ровными. Максимальное значение кривизны уголка по ГОСТу не должно превышать 0,4 % длины. По требованию заказчика предприятия, занимающиеся производством металлопроката, выпускают изделия с кривизной не более 0,2 % длины. Скручивание уголка в направлении вокруг оси ГОСТ не позволяет.
Ширина и вес полки
Какие, собственно, уголки металлические могут иметь размеры? ГОСТ регламентирует в первую очередь соотношение ширины полок этих изделий, их толщины и веса. Первый показатель варьируется от 20 до 200 мм. Толщина изделий может достигать 16 мм. Каким именно должно быть соотношение ширины полок и веса 1 метра изделия смотрите в таблице ниже.
Ширина полки (мм) | Толщина стали, используемой для изготовления (мм) | Вес (кг) |
тридцать | 3-4 | 1,36-1,78 |
35 | 3, 4 или 5 | 1,6, 2,1 или 2,58 |
40 | 3-5 | 1,85, 2,42, 2,98 |
50 | 3, 4, 5, 6 | 2,32, 3,05, 3,77 |
70 | 4,5, 5, 6, 7, 8 | 4,87, 5,38, 6,39, 7,39, 8,37 |
Выше приведены соотношения значений для бредней.
Как видите, при одинаковой ширине полок их толщина может быть разной. Соответственно меняется и вес изделия. Размеры уголка металлического неравнополочного, а точнее, ширины его «полочки», также могут варьироваться в пределах 20-200 мм. Соотношение этого параметра и веса изделий в этом случае регламентируется ГОСТом и указывается в специальных таблицах.
Марки стали
Прочность металлического уголка зависит не только от способа его изготовления, толщины и ширины полки. На влияние этого параметра также влияет то, какой материал использовался для изготовления изделия. Изготовляют уголок из следующих марок стали:
В первом случае применяют марки металла, эксплуатационные характеристики которых регламентируются ГОСТ 380-88. Качество низколегированных сталей, применяемых для изготовления уголков, определяется ГОСТ 19.281-89.
Наиболее популярные размеры уголка металлического
Наиболее востребованными изделиями этого типа являются изделия гнутые из черного металла марки «В».
Этот вариант дешевле, чем уголок из нержавейки класса «А». При этом такие уголки держат достаточный запас прочности, чтобы из них можно было собрать прочные и надежные конструкции.
Какие размеры металлического уголка самые популярные? 40 х 40 мм, 50 х 50, 70 х 70 и 100 х 100 мм – эта ширина полки самая популярная. Первый вариант изделий, например, можно использовать для изготовления навесов, беседок, скамеек, уличных столиков и т. д. Для не очень ответственных конструкций этот уголок имеет достаточный запас прочности.
Изделия 50 х 50 мм могут быть использованы для сборки заборов, ворот, решеток, маленьких детских качелей и т. д. Применяются в машиностроении, а также при сборке вагонов. Размеры металлического уголка 50х50х5 мм или 50х50х6 мм позволяют собирать всевозможные рамки, испытывающие небольшие нагрузки. В других случаях можно использовать менее прочную версию 50 х 50 х 3 или 50 х 50 х 4 мм. Этот уголок весит больше, а значит и стоит меньше.
Уголок стальной оцинкованный
Очень часто металлопрокат данного типа используется для сборки металлоконструкций, в процессе эксплуатации подвергающихся отрицательному воздействию влаги.
20
20)
HSS
HSS
быстрорежущая сталь (ASTM A500) 
Договоренно
-97 ст. 20,45,40H, 65G, 09g2s, 30hgsa, 40,15hsnd
Обеспокоенный
Договоренно
