Гост резьбовые калибры: Госты на инструмент: Калибры для метрической резьбы
Содержание
Калибры резьбовые. Технические условия – РТС-тендер
Обозначение: ГОСТ 2016-86
Статус: действующий
Название русское: Калибры резьбовые. Технические условия
Название английское: Thread gauges. Specifications
Дата актуализации текста: 06.04.2015
Дата актуализации описания: 01.01.2021
Дата издания: 01.07.2003
Дата введения в действие: 01.01.1987
Область и условия применения: Настоящий стандарт распространяется на резьбовые калибры для контроля наружных и внутренних цилиндрических резьб диаметром от 1 до 300 мм с допусками
Опубликован: официальное изданиеКалибры.
Часть 2: Сборник стандартов. — М.: ИПК Издательство стандартов, 2003 годУтверждён в: Госстандарт СССР
| Что | Cколько | Тип процедуры | Когда опубликованно | Подать заявку до | |
|---|---|---|---|---|---|
|
44-ФЗ — №0358300312122000013 Поставка продуктов питания в 2023 году | 2 033 650,77 ₽ | ОТКРЫТЫЙ КОНКУРС |
|
|
|
|
Закупки малого объема — №5277759 Поставка пищевых продуктов питания для детского сада | 596 468,50 ₽ | ЗАПРОС ЦЕН |
|
|
|
|
223-ФЗ — №32211883949 Поставка электротехнической продукции (ЛОТ № 0002-ТПиР БЕЗОП ДОХ-2023-ГРВКК-СШФ) | 1 985 996,22 ₽ | ЗАПРОС КОТИРОВОК |
|
|
|
Посмотреть все закупки по стандарту
ГОСТ 2016-86
Группа Г28
МЕЖГОСУДАРСТВЕННЫЙ СТАНДАРТ
КАЛИБРЫ РЕЗЬБОВЫЕ
МКС 17.040.30
ОКП 39 3100
Дата введения 1987-01-01
ИНФОРМАЦИОННЫЕ ДАННЫЕ
1. РАЗРАБОТАН И ВНЕСЕН Министерством станкостроительной и инструментальной промышленности
2. УТВЕРЖДЕН И ВВЕДЕН В ДЕЙСТВИЕ Постановлением Государственного комитета СССР по управлению качеством продукции и стандартам от 15.
05.86 N 1242
3. ВЗАМЕН ГОСТ 2016-68
4. ССЫЛОЧНЫЕ НОРМАТИВНО-ТЕХНИЧЕСКИЕ ДОКУМЕНТЫ
Обозначение НТД, на который дана ссылка | Номер пункта, раздела |
ГОСТ 9.014-78 | 1.19 |
ГОСТ 801-78 | 1.3 |
ГОСТ 1435-99 | 1.3 |
ГОСТ 1908-88 | 1.19 |
ГОСТ 2789-73 | 1.6 |
ГОСТ 4608-81 | Вводная часть |
ГОСТ 5950-2000 | 1. |
ГОСТ 6357-81 | Вводная часть, 1.17 |
ГОСТ 8908-81 | 1.8 |
ГОСТ 9562-81 | Вводная часть |
ГОСТ 10071-89 | 1.17 |
ГОСТ 11709-81 | Вводная часть |
ГОСТ 15623-84 | 1.22 |
ГОСТ 16093-81* | Вводная часть |
_______________ | |
ГОСТ 24834-81 | Вводная часть |
ГОСТ 24997-81* | 1.17 |
_______________ | |
ГОСТ 25096-82 | Вводная часть, 1.17 |
ОСТ НКТП 1261 | Вводная часть, 1.17 |
ОСТ НКТП 1262 | Вводная часть, 1.17 |
МИ 1904-88 | 2.1 |
5. Проверен в 1991 году. Ограничение срока действия снято Постановлением Госстандарта СССР от 23.
05.91 N 727
6. ИЗДАНИЕ с Изменением N 1, утвержденным в мае 1991 года (ИУС 8-91)
Настоящий стандарт распространяется на резьбовые калибры для контроля наружных и внутренних цилиндрических резьб диаметром от 1 до 300 мм, с допусками по ГОСТ 16093, ГОСТ 4608, ГОСТ 24834, ГОСТ 11709, ГОСТ 6357, ГОСТ 9562, ГОСТ 25096, ОСТ НКТП 1261 и ОСТ НКТП 1262.
Требования настоящего стандарта являются обязательными.
(Измененная редакция, Изм. N 1).
1.1. Резьбовые калибры должны изготовляться в соответствии с требованиями настоящего стандарта по рабочим чертежам, утвержденным в установленном порядке.
1.2. Непроходные калибры должны иметь следующие конструктивные признаки отличия:
а) непроходные калибры-пробки (или непроходные стороны двухсторонних калибров-пробок) — наличие меньшего числа витков резьбы, чем у проходных;
Замовити Калібри різьбові з доставкою по всій Україні
Калібри для метричної різьби ГОСТ 24997-81
Конструкція та основні розміри:
- ГОСТ 17756-72
- ГОСТ 17767-72
Поля допусків:
- для пробок 5H6H, 6H, 7H, 6G, 7G
- для кілець і контркалибров 6g, 8g, 4h, 6h, 8h, 6е, 6d
Призначення:
для контролю метричної різьби з профілем по ГОСТ 9150-81, основними розмірами по ГОСТ 24705-81 і ГОСТ 24706-81 і допусками по ГОСТ 16093-81, ГОСТ 4608-81, ГОСТ 24834-81 і ГОСТ 11709-81
Види різьбових калібрів:
- ПР — прохідні робочі пробки і кільця
- НЕ — непрохідні робочі пробки і кільця
- До-І — контрольні пробки для кілець типу ПР
- КІ-НЕ — контрольні пробки для кілець типу НЕ (контркалибры для контролю зносу кілець)
Приклади позначення при замовленні:
- Вставка M 27×1,5 ПР 6H
- Кільце M 27×1,5 НЕ 6g
- Вставка M 27×1,5 До-І 6g LH
Увага! Оскільки вставки ПР зношуються швидше вставок, а ручки практично не зношуються, рекомендується замовляти вставки окремо.
- Пробки різьбові зі вставками з повним профілем різьби діаметром 1-100 мм (ГОСТ 17756-72)
Позначення калібру-пробки (вставки): ПР, КИ-НЕ - Пробки різьбові зі вставками з укороченим профілем різьби діаметром 1-100 мм (ГОСТ 17756-72)
Позначення калібру-пробки (вставки): НЕ, КИ - Пробки різьбові з повним профілем різьби діаметром 105-300 мм (ГОСТ 17761-72)
Позначення калібру-пробки: ПР, КІ НЕ. Виготовляються з двома ручками - Пробки різьбові з укороченим профілем різьби діаметром 105-300 мм (ГОСТ 17762-72)
Позначення калібру-пробки: НЕ, КИ. Виготовляються з двома ручками - Кільця різьбові з повним профілем різьби діаметром 1-100 мм (ГОСТ 17763-72)
Позначення калібру-кільця: ПР - Кільця різьбові з укороченим профілем різьби діаметром 1– 100 мм (ГОСТ 17764-72)
Позначення калібру-кільця: НЕ - Кільця різьбові з повним профілем різьби діаметром 105-300 мм (ГОСТ 17765-72)
Позначення калібру-кільця: ПР. Виготовляються з двома ручками - Кільця різьбові з укороченим профілем різьби діаметром 105-300 мм (ГОСТ 17766-72)
Позначення калібру-кільця: НЕ.
Виготовляються з двома ручками
Калібри різьбові призначені для контролю середнього діаметра різьби. Зовнішню різьбу перевіряють різьбовими кільцями, внутрішню — різьбовими пробками.
Нарізний калібр-пробка конструктивно може виконується, або з двома різьбами на різних кінцях калібру ( з одного боку прохідна частина, з іншого боку не прохідна частина, або тільки з прохідний різьбленням на одній стороні калібру.
Нарізний калібр-кільце призначений для контролю зовнішнього діаметра різьби.
Нарізний калібр-кільце виконується в комплекті — прохід ПР і не прохід НЕ, що дозволяє здійснювати контроль в межах поля допуску різьби. Може поставлятися поштучно.
Калібри для трубної циліндричної різьби (1/16″-6″) ГОСТ 2533-88
Конструкція та основні розміри:
ГОСТ 18922-73
ГОСТ 18932-73
Призначення: для контролю трубної циліндричної різьби ГОСТ 6357-81
Класи точності різьби: А і В
Види калібрів:
- ПР — прохідні пробки і кільця
- ПР — прохідні пробки і кільця
- НЕ кл.
А — непрохідні пробки і кільця класу точності А - НЕ кл. В — непрохідні пробки і кільця класу точності
- До-І, КІ-НЕ — пробки контрольні (для контролю зносу кілець відповідного класу точності)
Приклади позначення при замовленні:
- Пробка G 1 1/8″ ПР
- Кільце G 1 1/8″ НЕ кл. А
- Пробка G 1 1/8″ До-І кл. В LH
Позначення розміру різьби: 1/16″, 1/8″, 1/4″, 3/8″, 1/2″, 5/8, 3/4″, 7/8, 1″, 1 1/4″, 1 3/8″, 1 1/2″, 1 3/4″, 2″, 2 1/4″, 2 1/2″, 2 3/4″, 3″, 3 1/4″, 3 1/2″, 3 3/4″, 4″, 4 1/2″, 5″, 5 1/2″, 6″
Крок різьби, мм: 0,907; 1,337; 1,814; 2,309
Кут профілю: 55°
Корисна інформація:
Таблиця кроків різьби для основних і дрібних метричних різьб ГОСТ 8724-81
Поля допусків зовнішньої і внутрішньої різьби, встановлені в класах точності для
| |||||||||||||||||||||||||||||||||||||||||||||||||||||||||||||||||||||||||||||||||||||||||||||||||||||||||||||||||||||||||||||||||||||||||||||||||||||||||||||||||||||||||||||||||||||||||||||||||||||||||||||||||||||||||||||||||||||||||||||||||||||||||||||||||||||||
Поля допусків, виділені жирним шрифтом призначені для вибору в першу чергу.
Поля допусків зовнішньої і внутрішньої різьби, встановлені в класах точності для
трапецеїдальної різьби ГОСТ 9562-81
| Клас точності | Зовнішня різьба (кільця) | Внутрішня різьба (пробки) | ||
| Довжина згвинчування | ||||
| N | L | N | L | |
| Поле допуску | ||||
| Точний | 6e; 6g | 7e | 6H | 7H |
| Середній | 7e; 7g | 8e | 7H | 8H |
| Грубий | 8c; 8e | 9c | 8H | 9H |
Види калібрів для циліндричних різьб. ГОСТ 24939-81
Робочі різьбові калібри для циліндричних різьб поставляються комплектом і складаються з двох штук: «прохідний» ПР і «непрохідний» НЕ.
ПР — контролює найбільший середній діаметр (наведений середній діаметр) і, одночасно, найбільший внутрішній діаметр різьби;
НЕ — контролює найменший середній діаметр різьби.
Допускається загвинчування калібру до двох обертів.
Для контролю зовнішньої різьби застосовуються калібр-кільця, для контролю внутрішньої різьби застосовуються калібр-пробки. Іноді пробки називають «вставки», за фактом – це одне і теж, «вставка» – це ПР, або НЕ без ручки. Пробки виготовляються комплектом на одній ручці ПР і НЕ у вигляді «гантелі» для діаметрів до 50 мм, також, за бажанням замовника, можуть бути виконані поштучно в окремій упаковці.
Виготовлення робочих кілець не можливо без застосування наступних контркалибров:
КПР-ПР — калібр повинен вільно угвинчуватися в контрольований калібр-кільце. Свинчиваемость калібру-пробки з калібром-кільцем означає, що наведений середній діаметр калібр-кільця не менше встановленого найменшого граничного розміру, а зовнішній діаметр калібру-кільця не менше найбільшого зовнішнього діаметра зовнішньої різьби.
КПР-НЕ — калібр контролює найбільший середній діаметр калібру-кільця. Калібр, не повинен угвинчуватися в контрольований калібр-кільце.
Допускається вгвинчування до одного обороту з кожної сторони калібра-кільця.
КНЄ-ПР — Калібр контролює найменший середній діаметр (наведений середній діаметр) калібра-кільця. Калібр має вільно угвинчуватися в контрольований калібр-кільце. Свинчиваемость калібру-пробки з калібром-кільцем означає, що наведений середній діаметр калібру-кільця не менше встановленого найменшого граничного розміру
КНЄ-НЕ — Калібр контролює найбільший середній діаметр калібру-кільця. Калібр не повинен угвинчуватися в контрольований калібр-кільце. Допускається вгвинчування до одного обороту з кожної сторони калібра-кільця.
Все эти калибры предназначены для проверки только новых рабочих колец и как правило, применяется только у изготовителя калибров. Использование данных калибров для входного контроля партий колец другого изготовителя является не корректным, т.к. в случае фактического нахождения среднего диаметра контркалибров на разных пределах поля допуска, может привести к не свинчиванию.
Оптимальным является контроль «родными» контрольными пробками. В настоящее время производство не хранит длительное время партию технологических контркалибров КПР-ПР, КПР-НЕ, КНЕ-ПР и КНЕ-НЕ и по мере износа чугунных притиров, перетачивает контрольные пробки на меньший диаметр с изготовлением новых при получении очередного заказа.
В процессе эксплуатации, рабочие калибры-кольца стачиваются, что приводит к увеличению их диаметров, для проверки выхода размера за предел допуска, применяются контрольные пробки износа:
КИ – применяется для проверки проходного кольца ПР. Калибр не должен ввинчиваться в контролируемый калибр-кольцо. Допускается ввинчивание до двух оборотов с каждой стороны.
КИ-НЕ – применяется для проверки непроходного кольца НЕ. Калибр не должен ввинчиваться в контролируемый калибр-кольцо. Допускается ввинчивание до двух оборотов с каждой стороны.
В случае, если контрольная пробка износа КИ или КИ-НЕ ввинтилась более чем на два оборота, кольцо считается изношенным и не подлежит дальнейшей эксплуатации.
Контрольних різьбових калібрів-кілець не буває, для перевірки зовнішньої різьби робочих пробок застосовують універсальні методи контролю.
Всі калібри виготовляють з конструкційної підшипникової сталі ШХ15 (GCr15), твердість HRC 58…62.
Инструменты
Инструменты
Размер шрифта
Фон и цвет шрифта
Изображения
Озвучивание текста
Обычная версия сайта
Кронштейны и шаблоны
НА СКОБАХ (ГОСТ 18369-73)
131,4 КБ
СКОБЫ ШТАМПОВАННЫЕ (ГОСТ 18367-93)
271,1 KB
СКОБЫ (ГОСТ 18360-93)
299,1 КБ
КОМПЛЕКС СКОБ (ГОСТ 18358-93)
208,4 КБ
СКОБЫ ДЛЯ ДЛИН (ГОСТ 18357-73)
125,5 КВ
СКОБЫ ДЛЯ ПРОДОЛЬНЫХ (ГОСТ 18356-73)
151,6 КБ
СКОБЫ СПЛАВНЫЕ (ГОСТ 16775-93)
254,3 KB
СКОБЫ СО СМЕННЫМИ ГУБКАМИ (ГОСТ 8365-93)
249,2 KB
СКОБЫ РЕГУЛИРУЕМЫЕ ГЛАДКИЕ (ГОСТ 2216-84)
296,5 КБ
СКОБЫ ТУ (ГОСТ 11098-75)
512,7 КБ
Калибры
ГОСТ 24968-81
295 КБ
ГОСТ 24116-80
297,5 КБ
ИЗМЕРИТЕЛЬ ПАЗОВ (ГОСТ 24121-80)
191,1 KB
ШПОНОЧНЫЕ КОНТРОЛЛЕРЫ (ГОСТ 24111-80)
261,4 КБ
РАЗМЕРНЫЕ НУРОМЕРЫ (ГОСТ 16085-80)
890 KB
КАМЕРЫ СФЕРИЧЕСКИЕ (ГОСТ 14827-69)
250,6 КБ
Прочие
ГОСТ 18357-73
320 КБ
ГОСТ 14748-69
322 КБ
ШЛИФОВАЛЬНЫЕ МАТЕРИАЛЫ (ГОСТ 5744-85)
794,7 КБ
ТЕХНИЧЕСКИЕ ХАРАКТЕРИСТИКИ(ГОСТ 2015-84)
281,3 КБ
АЛМАЗНЫЕ ЧАШКИ (ГОСТ 16173-91)
127,8 KB
ПАСТЫ(ГОСТ 25593-83)
1,2 МБ
ПРОВОЛОКИ И РОЛИКИ(ГОСТ 2475-88)
457,1 КБ
КРУГИ ШЛИФОВАЛЬНЫЕ (ГОСТ 2424-83)
1,4 МБ
ПРИЗМЫ(ГОСТ 24114-80)
199,2 КБ
ТЕХНИЧЕСКИЕ ХАРАКТЕРИСТИКИ (ГОСТ 2016-86)
122,2 КБ
РУКОЯТКИ ДЛЯ КОЛЬЦ И ВТУЛОК(ГОСТ 17767-72)
87,1 КБ
Калибры со шлицами
КАЛИБРЫ ПРОРЕЗНЫЕ ЭВОЛЬНЫЕ (ГОСТ 24969-81)
659,8 KB
КАЛИБРЫ ПРОРЕЗНЫЕ (ГОСТ 24960-81)
1,3 МБ
КАЛИБРАТОРЫ ДЛЯ ЩЕЛЕВЫХ СОЕДИНЕНИЙ (ГОСТ 24959-81)
111,9 KB
Гладкие калибры
ГОСТ 24851-81
265,9 КБ
ГОСТ 21401-75
2 МБ
ГОСТ 14826-69
152,4 КБ
ГОСТ 14825-69
173,9 КБ
ГОСТ 14824-69
175 КБ
ГОСТ 14823-69
249,5 КБ
ГОСТ 14822-69
225,2 КБ
ГОСТ 14821-69
186,2 КБ
ГОСТ 14820-69
184 КБ
ГОСТ 14819-69
152,9 КБ
ГОСТ 14818-69
149,3 КБ
ГОСТ 14817-69
158,8 КБ
ГОСТ 14816-69
152,7 КБ
ГОСТ 14815-69
153,7 КБ
ГОСТ 14814-69
129,1 КБ
ГОСТ 14813-69
125 КБ
ГОСТ 14812-69
133,5 КБ
ГОСТ 14811-69
232,7 КБ
ГОСТ 14810-69
364,6 КБ
ГОСТ 14809-69
104,2 КБ
ГОСТ 14808-69
107,8 КБ
ГОСТ 14807-69
256,5 КБ
Штампы-шрифты
ШТАМПЫ РУЧНЫЕ (ГОСТ 25726-83)
149,6 КБ
СТП ТМЗ ШРИФТС
642,1 КБ
Шрифты(ГОСТ 2930-62)
2 МБ
Резьба
ПРОБКИ РЕЗЬБОВЫЕ(ГОСТ 12202-66)
294,3 КБ
ГОСТ 16093-2004
1,1 МБ
РЕЗЬБА КОНИЧЕСКАЯ ДЮЙМОВАЯ(ГОСТ 6111-52)
303,2 KB
РЕЗЬБА КОНИЧЕСКАЯ(ГОСТ 8867-89)
459,6 КБ
МАНИМЕРОВ КОНИЧЕСКИХ ТРУБНЫХ (ГОСТ 7157-79)
615,4 KB
РЕЗЬБА КОНИЧЕСКАЯ ДЮЙМОВАЯ (ГОСТ 6485-69)
430,4 KB
РЕЗЬБА МЕТРИЧЕСКАЯ МЕНЕЕ 1 ММ(ГОСТ 3199-84)
455,5 КБ
ДОПУСКИ КРУГЛОЙ РЕЗЬБЫ (ГОСТ 28094-89)
666 КБ
МНОГОРЕЗНАЯ (ГОСТ 27298-87)
558,9 КБ
РЕЗЬБА ЭДИСОНА КРУГЛАЯ (ГОСТ 25578-83)
148,7 KB
ТРУБА НАСОСА ТРАПЕЦИЯ (ГОСТ 25576-83)
432,2 КБ
КОРПУС ТРАПЕЦИЯ (ГОСТ 25575-83)
336,7 КБ
ДОПУСКИ ТРУБНОЙ РЕЗЬБЫ(ГОСТ 2533-88)
523,9 KB
КЛАПАНЫ ЦИЛИНДРОВ РЕЗЬБОВЫЕ(ГОСТ 24998-81)
523,9 KB
ДОПУСКИ МЕТРИЧЕСКОЙ РЕЗЬБЫ(ГОСТ 24997-81)
927,3 KB
ИЗМЕРИТЕЛЬ ЦИЛИНДРИЧЕСКОЙ РЕЗЬБЫ(ГОСТ 24939-81)
706,4 КБ
РЕЗЬБА МЕТРИЧЕСКАЯ(ГОСТ 24705)
593,5 КБ
РЕЗЬБА КОНИЧЕСКАЯ(ГОСТ 24672-81)
229,4 КБ
ДОПУСКИ МЕТРИЧЕСКОЙ КОНИЧЕСКОЙ РЕЗЬБЫ(ГОСТ 24475-80)
773,7 КБ
КАМЕРЫ ДЛЯ БУРОВЫХ ТРУБ (ГОСТ 22634-77)
370,5 КБ
КОЛЬЦА ТРУБНЫЕ (ГОСТ 18930-73)
107,7 KB
КОЛЬЦА ТРУБНЫЕ ПР(ГОСТ 18929-73)
107,9 KB
ПРОБКИ ТРУБНЫЕ(ГОСТ 18924-73)
130,1 KB
РЕЗЬБА МЕТРИЧЕСКАЯ(ГОСТ 18466-73)
17,8 МБ
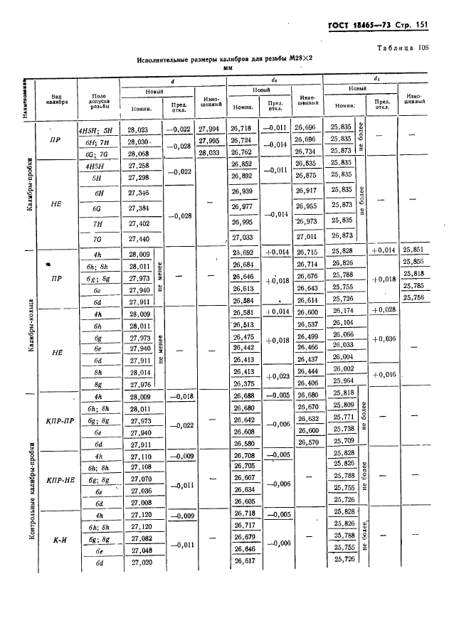
РЕЗЬБА МЕТРИЧЕСКАЯ (ГОСТ 18465-73)
22,6 МБ
КОЛЬЦА ИЗ 105(ГОСТ 17766-72)
387,2 КБ
КОЛЬЦА ИЗ 105(ГОСТ 17765-72)
409,6 КБ
КОЛЬЦА РЕЗЬБОВЫЕ(ГОСТ 17764-72)
306,1 КБ
КОЛЬЦА РЕЗЬБОВЫЕ(ГОСТ 17763-72)
318,1 KB
ЗАГЛУШКИ ОТ 105(ГОСТ 17762-72)
937,2 КБ
ВИЛКИ ОТ105(ГОСТ 17761-72)
1,3 МБ
ПРОБКИ РЕЗЬБОВЫЕ КОРОТКИЕ(ГОСТ 17760-72)
569,6 КБ
ПРОБКИ РЕЗЬБОВЫЕ ОТ 50 ДО 100(ГОСТ 17759-72)
834,5 КБ
ПРОБКИ РЕЗЬБОВЫЕ (ГОСТ 17758-72)
295 KB
ПРОБКИ РЕЗЬБОВЫЕ (ГОСТ 17757-72)
2 KB
ВСТАВКИ ВИНТОВЫЕ ПР(ГОСТ 17756-72)
1,7 МБ
ПРОБКА РЕЗЬБА (ГОСТ 17381-84)
7,7 МБ
КАЛИБРЫ ДЛЯ ДЮЙМОВОЙ РЕЗЬБЫ (ГОСТ 1623-89)
529,7 KB
ПРОБКА РЕЗЬБОВАЯ УСИЛЕННАЯ (ГОСТ 14747-88)
429,9 KB
РЕЗЬБА КРУГЛАЯ(ГОСТ 13798-68)
142,3 КБ
ТРЕУГОЛЬНАЯ РЕЗЬБА КОРПУСНОЙ ТРУБЫ (ГОСТ 10655-81)
368,5 КБ
РЕЗЬБА НАСОСНАЯ ТРЕУГОЛЬНАЯ(ГОСТ 10654-81)
369,9 KB
РЕЗЬБА ТРЕУГОЛЬНАЯ РАСТОЧНАЯ(ГОСТ 10653-84)
431,8 KB
КАМЕРЫ НА РЕЗЬБУ ПРОБКИ(ГОСТ 10278-81)
536 KB
ТРАПЕЦИЯ ОДНОПРОХОДНАЯ (ГОСТ 10071-89)
523,9 КБ
Ваша корзина пуста
Это легко исправить: выберите интересующий Вас товар в каталоге и нажмите кнопку «Добавить в корзину»
В каталог
Обзор «Призрака Аполлона»: Мощный, но пугающий
Волнующий и пугающий.
Вот что значит ехать на Apollo Ghost. Этот двухмоторный электрический самокат от канадской компании Apollo Scooters настолько мощный, что вы почувствуете, как ваша душа вырывается из тела, когда вы нажимаете на педаль газа. Наверное, отсюда и название.
Серьезно, легко разогнаться до 40 миль в час, когда оба мотора включены. Проблема? Эти скорости незаконны здесь, в Нью-Йорке, где я живу; эскутерам разрешено развивать скорость не более 15 миль в час по велосипедным дорожкам. Фактически, в большинстве штатов скорость ограничена от 15 до 30 миль в час. На гонщике лежит ответственность за соблюдение ограничений скорости.
Для большинства людей такая сила является излишеством. Ценник в 1499 долларов также слишком высок для большинства людей. Тем не менее, Apollo Ghost — один из самых хорошо сконструированных скутеров, на которых я когда-либо ездил, и он очень плавно скользит по всем дорогам, кроме самых плохих.
A (Почти) установка без страха
Вам не нужно будет выполнять массу настроек перед первой поездкой на Призраке, но это может зависеть от того, насколько жестким был процесс доставки коробки.
В моем тестовом образце отсутствовали два винта, которые предназначались для крепления замка зажигания и светодиодного дисплея к рулю (они специально ослаблены, чтобы предотвратить повреждение во время транспортировки). К счастью, покопавшись в обрывках картона, я обнаружил, что они прячутся между клапанами. Фух . Аполлон говорит, что у меня был опытный образец, так что с розничными моделями такого быть не должно.
Это удобное видео по установке с канала Apollo на YouTube легко понять, хотя в него включено письменное руководство пользователя. Но и в видео, и в руководстве отсутствует шаг: крепление руля к выносу руля. Догадаться несложно, но меня это сбило с толку. Что бы это ни стоило, у Apollo есть команда обслуживания клиентов, с которой вы можете связаться по электронной почте или позвонить, если вам нужна помощь, и компания заявляет, что собирается отредактировать видео, чтобы включить этот шаг.
Призрак складывается, что облегчает его хранение.
Часть 2: Сборник стандартов. — М.: ИПК Издательство стандартов, 2003 год
12.2022
11.2022
3
Виготовляються з двома ручками
А — непрохідні пробки і кільця класу точності А
25
25