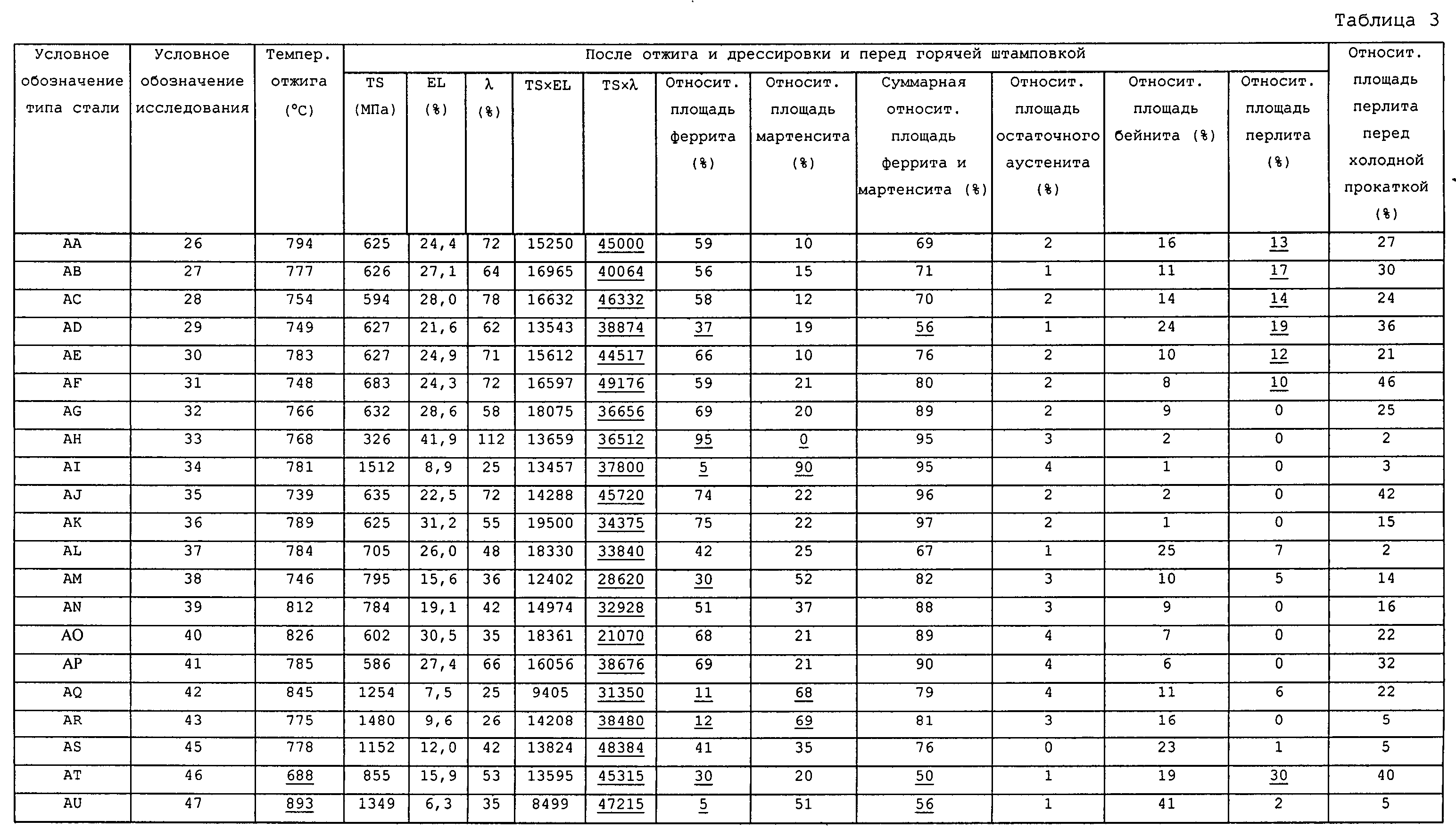
Холоднокатаный лист размеры: Лист стальной ХК
Содержание
Лист стальной размеры толщина, размер металлического листа таблица
Лист стальной размеры толщина, размер металлического листа таблица
Металлические листы сделанные из стали ст3сп/пс, 08пс/кп имеют различную толщину, раскрой и вид, что в свою очередь определяет их размер. Основные параметры листа — это его толщина и раскрой. Основные виды металлических листов: холоднокатаные, горячекатаные, оцинкованные, рифлёные, просечно-вытяжные. Основные размеры и толщины представлены в таблицах ниже:
Лист стальной таблица размеров
| Лист горячекатаный таблица: размер вес толщина | |
| 1.5x1250x2500 | 11,8 кг/м2 |
| 2x1250x2500 | 15,7 кг/м2 |
| 2.5x1250x2500 | 19,76 кг/м2 |
| 3x1250x2500 | 23,61 кг/м2 |
| 4x1500x6000, 4х1500х3000 | 31,4 кг/м2 |
| 5x1500x6000, 5х1500х3000 | 39,35 кг/м2 |
| 6x1500x6000, 6х1500х3000 | 47,1 кг/м2 |
| 7x1500x6000, 7х1500х3000 | 0 кг/м2 |
| 8x1500x6000, 8х1500х3000 | 62,8 кг/м2 |
| 9x1500x6000, 9х1500х3000 | 0 кг/м2 |
| 10x1500x6000, 10х1500х3000 | 78,5 кг/м2 |
| 12x1500x6000, 12х1500х3000 | 94,2 кг/м2 |
| 14x1500x6000 | 109,9 кг/м2 |
| 16x1500x6000 | 125,6 кг/м2 |
| 18x1500x6000 | 141,3 кг/м2 |
| 20x1500x6000 | 157 кг/м2 |
| 22x1500x6000 | 172,7 кг/м2 |
| 25x1500x6000 | 197 кг/м2 |
| 30x1500x6000 | 236 кг/м2 |
| 32x1500x6000 | 251 кг/м2 |
| 36x1500x6000 | 275 кг/м2 |
| 40x1500x6000 | 283 кг/м2 |
| 45x1500x6000 | 314 кг/м2 |
| 50x1500x6000 | 393 кг/м2 |
| 60x1500x6000 | 471 кг/м2 |
| 70x1500x6000 | 0 кг/м2 |
| 80x1500x6000 | 628 кг/м2 |
| 90x1500x6000 | 0 кг/м2 |
| 100x1500x6000 | 785 кг/м2 |
| 110x1500x6000 | 0 кг/м2 |
| 120x1500x6000 | 0 кг/м2 |
| 130x1500x6000 | 0 кг/м2 |
| 140x1500x6000 | 0 кг/м2 |
| 150x1500x6000 | 0 кг/м2 |
| 160x1500x6000 | 0 кг/м2 |
| Лист холоднокатаный таблица: размер вес толщина | |
0. 5x1250x2500, 0.5x1000x2000 | 3,92 кг/м2 |
| 0.6x1250x2500 | 4,71 кг/м2 |
| 0.7x1250x2500 | 5,5 кг/м2 |
| 0.8x1250x2500 | 6,28 кг/м2 |
| 0.9x1250x2500 | 7,06 кг/м2 |
| 1x1250x2500 | 7,85 кг/м2 |
| 1.2x1250x2500 | 9,42 кг/м2 |
| 1.4x1250x2500 | 10,99 кг/м2 |
| 1.5x1250x2500 | 11,77 кг/м2 |
| 1.8x1250x2500 | 14,13 кг/м2 |
| 2x1250x2500 | 15,7 кг/м2 |
| 2.5x1250x2500 | 19,62 кг/м2 |
| 3x1250x2500 | 23,5 кг/м2 |
| Лист оцинкованный таблица: размер вес толщина | |
| 0.45x1250x2500 | 3,73 кг/м2 |
| 0.5x1250x2500, 0.5x1000x2000 | 4,13 кг/м2 |
| 0.55x1250x2500 | 4,52 кг/м2 |
| 0.7x1250x2500 | 5,7 кг/м2 |
| 0.8x1250x2500 | 6,48 кг/м2 |
0. 9x1250x2500 | 7,27 кг/м2 |
| 1x1250x2500 | 8,05 кг/м2 |
| 1.2x1250x2500 | 9,62 кг/м2 |
| 1.5x1250x2500 | 11,97 кг/м2 |
| 2x1250x2500 | 15,9 кг/м2 |
| 2.5x1250x2500 | 19,82 кг/м2 |
| 3x1250x2500 | 23,84 кг/м2 |
| Лист рифленый таблица: размер вес толщина | |
| 3x1250x2500 чечевица | 23,5 кг/м2 |
| 4x1500x6000 чечевица | 31,4 кг/м2 |
| 5x1500x6000 чечевица | 39,25 кг/м2 |
| 6x1500x6000 чечевица | 47,1 кг/м2 |
| 8x1500x6000 чечевица | 62,8 кг/м2 |
| 10x1500x6000 чечевица | 78,5 кг/м2 |
| 12x1500x6000 чечевица | 96,8 кг/м2 |
Лист стальной цены за метр м2 за тонну >>>
заполните форму: получите счет или кп
Имя
Телефон
Адрес доставки
Наименование продукции
Загрузка файла
Лист нержавеющий 12Х18Н10Т 3,0 мм холоднокатаный размеры 1250х2500 мм со склада в Москве
Цена: 502 220i/т
т
кв.
метры
Предлагаем купить Лист нержавеющий 12Х18Н10Т 3,0 мм холоднокатаный размеры 1250х2500 мм оптом или в розницу с доставкой по Москве и Московской области. Качественный металлопрокат по цене 502 220i/т со склада. Лист нержавеющий 12Х18Н10Т 3,0 мм холоднокатаный размеры 1250х2500 мм всегда в наличии в большом количестве. Имеется система скидок постоянным покупателям. Для уточнения информации по заказу и доставке товара Лист нержавеющий 12Х18Н10Т 3,0 мм холоднокатаный размеры 1250х2500 мм звоните менеджерам по телефону + 7 (495) 989-1820 и они с радостью Вас проконсультируют по всем имеющимся вопросам.
Похожие товары
Размер:
Все1000х2000 мм1000х2500 мм1000х2900 мм1000х3000 мм1000х4000 мм1100х4500 мм1100х6000 мм1200х3000 мм1250х2500 мм1400х4500 мм1500х3000 мм1500х4000 мм1500х6000 мм
Толщина:
Все0,50,81,01,21,52,02,53,04,05,06,08,010,012,014,016,018,020,025,030,035,036,040,042,045,050,060,070,090,0
| Наименование: Лист нержавеющий 12Х18Н10Т | Размер | Толщина | Цена | Кол-во т | кв. метры | |
|---|---|---|---|---|---|---|
| 0,5 мм х/к | 1000х2000 мм | 0,5 | 468 680i/т | В корзину | ||
| 0,5 мм х/к | 1250х2500 мм | 0,5 | 492 430i/т | В корзину | ||
| 0,8 мм х/к | 1000х2000 мм | 0,8 | 541 670i/т | В корзину | ||
| 1,0 мм х/к | 1000х2000 мм | 1,0 | 478 160i/т | метры»> | В корзину | |
| 1,0 мм х/к | 1250х2500 мм | 1,0 | 480 390i/т | В корзину | ||
| 1,2 мм х/к | 1000х2000 мм | 1,2 | 463 580i/т | В корзину | ||
| 1,2 мм х/к | 1250х2500 мм | 1,2 | 491 820i/т | В корзину | ||
| 1,5 мм х/к | 1000х2000 мм | 1,5 | 478 160i/т | метры»> | В корзину | |
| 1,5 мм х/к | 1250х2500 мм | 1,5 | 489 270i/т | В корзину | ||
| 1,5 мм х/к | 1500х3000 мм | 1,5 | 489 270i/т | В корзину | ||
| 2,0 мм х/к | 1000х2000 мм | 2,0 | 516 530i/т | В корзину | ||
| 2,0 мм г/к | 1000х2000 мм | 2,0 | 604 200i/т | метры»> | В корзину |
123..5
Собственное
производство
Собственный
склад
Оперативная
доставка
10000 видов
продукции
Грамотная
консультация
Оставить заявку
E-mail*
Дополнительные комментарии:
Партнеры и поставщики
Ваш браузер устарел рекомендуем обновить его до последней версии
или использовать другой более современный.
Таблица толщины холоднокатаного стального листа
— найдите идеальную толщину
19 мая 2023 г. / Шейн
/ 2 минуты чтения
Ищете идеальное руководство, которое поможет вам ориентироваться в мире холоднокатаного стального листа? Посмотрите нашу исчерпывающую таблицу толщины стального листа CR!
Механические пластины серии Artizono W11S…
Пожалуйста, включите JavaScript
Наша таблица с подробной информацией обо всем, от стандартных размеров до конкретных толщин, является основным ресурсом для всех, кто работает в металлообрабатывающей промышленности.
Являетесь ли вы опытным профессионалом или только начинаете, наши экспертные знания и советы помогут вам выбрать правильный металлообрабатывающий станок для ваших нужд.
Так зачем ждать? Ознакомьтесь с нашей таблицей толщины стального листа CR сегодня и начните добиваться успеха в своем следующем проекте!
1. Какова толщина холоднокатаного листа?
Толщина холоднокатаного стального листа обычно находится в диапазоне 0,5-3 мм.
Однако доступны также варианты холоднокатаных стальных листов с минимальной толщиной 0,3 мм и максимальной толщиной 6 мм.
2. Какова стандартная длина и ширина холоднокатаного листа?
Стандартные размеры холоднокатаного стального листа составляют в основном 48 футов и 40 футов с размерами 1219 мм x 2438 мм и 1219 мм x 3048 мм соответственно.
Однако длина и ширина холоднокатаных листов могут различаться.
Ширина холоднокатаного листа обычно составляет менее 1,5 метра, а длина – менее 6 метров.
5x1250x2500, 0.5x1000x2000
9x1250x2500
метры